Methodology

Further education and skills statistics: methodology

Published
Last updated
See all notes (5)
  1. References to the Education and Skills Funding Agency (ESFA) and Adult Education Budget (AEB) removed or updated, following the decision to close ESFA and bring its functions into the Department for Education from 1 April 2025.

  2. Information on the discontinuation of public sector apprenticeship statistics and monthly updates on apprenticeship starts added to section 10. Update to the data lag analysis in section 8.

  3. Section 2 'Changes to Further Education in 2024/25' added and subsequent sections renumbered. This new section explains changes to the definition and calculation of FE and skills data for 2024/25. Information on changes to how GCSE achievements are calculated and a reclassification of some English essential skills aims to Digital essential skills for final 2023/24 data is provided in section 10 ‘Methodology changes and data continuity’.

  4. Methodology updated and reorganised to improve readability. Annex ‘1. Apprenticeship levels’ removed, as this information is now included in methodology section ‘2. Further Education’. Annex ‘2. Government contribution to funding’ removed, as this information is now included in methodology section ‘3. Funding’. Annex '6. Contact points for further information' removed, as contact information is provided in the Help and Support section. Remaining annexes reordered.

  5. 30th November 2023 Update

1. Introduction

The purpose of this methodology is to provide background information on the further education (FE) and apprenticeships official statistics (opens in new tab) published by the Department for Education. The methodology includes information on the data sources we use, data quality, the methods we use to produce the statistics, FE funding and related statistics.

Each year we publish four releases of official statistics for both FE and Skills and Apprenticeships. Section 5 of this methodology provides information on the publication schedule and the time period covered in each release. 

A number of significant changes have been introduced for the 2024/25 academic year which affect how FE and skills data is defined and reported. Information on these changes is provided in section 2. 

Two separate changes were included in final 2023/24 data, published in November 2024. These were changes to how GCSE achievements are calculated and a reclassification of some English essential skills aims to digital essential skills. More information on these changes is provided in section 10, under the heading ‘Further Education and Skills’.

Although there have been no changes to the methods we use to calculate apprenticeships statistics, there are two changes to the content we publish. From 2024/25, we have ceased publication of the public sector apprenticeship statistics and will no longer publish monthly updates on apprenticeship starts. More information on this is provided in section 10, under the heading ‘Apprenticeships’.

If you have any questions regarding the FE and apprenticeship data we publish, please contact the FE statistics team by email at FE.OFFICIALSTATISTICS@education.gov.uk.

Alternatively, you can use the contact details provided in the ‘Help and support’ section at the bottom of this page.

2. Changes to Further Education in 2024/25

Data continuity

A number of significant changes have been introduced for the 2024/25 academic year which affect how Further Education (FE) is funded and FE and skills data is defined and reported. As a result, the education and training and tailored learning data reported from 2024/25 onwards is not directly comparable with data released in previous publications in this series. This section of the methodology provides information on these changes.

It should be noted that apprenticeships are not affected by these changes and data from 2024/25 onwards is directly comparable with that released in previous publications.

Furthermore, overall FE and skills data (all of education and training including tailored learning, and apprenticeships) is comparable with data released in previous publications.

Funding

The changes to how education and training and tailored learning (replaces community learning from 2024/25) are reported is in part due to changes in how FE is funded.

In 2022 DfE ran a consultation (opens in new tab) on further education funding and accountability. DfE published a response to this consultation in July 2023 which set out a new funding system, with the aim to both simplify the system and improve the outcomes achieved with taxpayer investment. As a result, the Adult Skills Fund  (opens in new tab) (ASF) has replaced the Adult Education Budget (AEB) from the 2024 to 2025 funding year (1 August 2024 to 31 July 2025) onwards. 

The purpose of the ASF is to support adult learners to gain skills which will lead them to meaningful, sustained, and relevant employment, or enable them to progress to further learning which will deliver that outcome.

Encompassing the Adult Education Budget (including tailored learning - see below) and Free Courses for Jobs (FCFJ), ASF funding will flow either to authorities with devolution deals or to providers serving learners in authorities without devolution deals.

Tailored learning

Tailored learning has replaced community learning, from the 2024/25 academic year onwards.

As part of the new adult skills fund (ASF), tailored learning brings together what was AEB community learning, formula-funded AEB non-regulated learning (previously delivered through adult skills) and any new employer-facing innovative provision that is not qualification based.

Some devolved areas may take a slightly different approach and choose not to transfer all or any of the formula funded non-regulated and employer-facing provision to tailored learning. The Greater London Authority (GLA) and Combined Authorities (CAs) will continue to develop their approach to tailored learning, as they respond to emerging local needs that can be addressed with tailored learning provision. It is also worth noting that some of the newer CAs will be adopting central government funding, whilst they consult on their adult skills strategy.

The primary purpose of tailored learning is to support learners into employment and to progress to further learning. It will also be used to support wider outcomes, including improving health and wellbeing, equipping parents/carers to support their child’s learning and developing stronger and more integrated communities.

The seven tailored learning purpose type are the same as those introduced for community learning in 2023/24, these are:

  • Developing Stronger Communities
  • Engaging and/or building confidence
  • Equipping parents/carers to support children’s learning
  • Health and well-being
  • Improving essential skills including English, ESOL, Maths and Digital
  • Preparation for employment
  • Preparation for further learning

Tailored Learning statistics

The breakdowns we publish are for the entirety of provision funded through tailored learning and submitted to the ILR under funding model 11 (opens in new tab). While all tailored learning aims (LARS category code 75 (opens in new tab)) are non-regulated, figures may include other activity where providers have used flexibilities for tailored learning funding on ASF formula-funded provision to meet local demand. 

Tailored learning is not directly comparable with community learning, since it includes formula-funded non-regulated learning which was previously counted and reported under education and training. Tailored learning therefore covers a broader portfolio of learning aims than community learning, which it replaces. This means that counts of participation and achievements are higher for tailored learning than they would be if it had simply replaced community learning on a like-for-like basis.

Education and Training

Up until the 2023/24 academic year, the FE and skills data we report as education and training was defined as all adult further education other than community learning and apprenticeships. From 2024/25 the definition of education and training has been expanded to include tailored learning. This change was necessary since tailored learning includes some formula-funded non-regulated learning, in addition to the provision previously reported under community learning.

As with community learning, very nearly all of tailored learning (99%) consists of non-regulated learning aims. From 2024/25 onwards education and training data therefore includes breakdowns by regulated and non-regulated provision (see below).

As a result of this change, education and training data reported from the 2024/25 academic year onwards is not comparable with data released in previous Further education and skills statistics publications.

The diagram below illustrates the changes for reporting adult FE and skills data in 2024/25.

Diagram showing changes to reporting of further education data in 2024/25

Regulated and non-regulated learning aims

From the 2024/25 academic year, education and training is categorised and reported by whether or not a learning aim is regulated.

Regulated learning aims are those which are accredited (mainly) by Ofqual (opens in new tab) and other accreditation organisations. This means the qualification reliably indicates the knowledge, skills and understanding students have demonstrated. Learning aims regulated by Ofqual are listed on the Register of Regulated Qualifications (opens in new tab).

Non-regulated learning aims are not accredited by Ofqual and other accreditation organisations, but are typically provided by established awarding bodies and providers to meet specific learner requirements. They can be used for personal (particularly in tailored learning) and professional development, but non-regulated qualifications are not recognised by all employers or education providers.

The diagram below illustrates how education and training (including tailored learning) will be reported from 2024/25, compared to earlier years.

Diagram showing the change to the reporting of education and training from 2024/25

Adult Essential Skills

We have identified nearly fifty tailored learning, community learning and other non-regulated learning aims that have aim titles and descriptions consistent with other essential skills aims, but are currently not identified as ‘Basic Skills’ on the Find a Learning Aim Service (opens in new tab)

We have added these aims into the essential skills measures for English, maths, ESOL and digital skills. The additional tailored learning aims are new for the 2024/25 academic year, equivalent community learning aims were first introduced in 2023/24 and the remaining non-regulated aims apply to all academic years in this series. None of these aims were previously counted as essential skills. 

The 2024/25 Further Education and Skills release includes a time series of adult essential skills data for both the new definition (includes the additional learning aims) and historic definition (excludes the additional learning aims). The historic data is consistent with adult essential skills figures released in previous publications in this series. A breakdown of the data by regulated and non-regulated provision has been included for the first time.

From the 2025/26 academic year onwards we plan to publish data for the new definition only.

A full list of the additional aims is provided in Annex 4: Additional essential skills learning aims.

The table below compares final data for the new and historic definitions, for the six years to 2024/25. This shows that up to 2022/23, adult essential skills participation was generally some 4% to 5% higher for the new definition compared to the historic definition. The larger difference of 12% seen in 2023/24 is mainly explained by the additional community learning aims, all of which were first introduced and only available in that year. Similarly the difference of nearly 18% between the new and historic definitions in 2042/25 is due to the inclusion of the additional tailored learning aims. 

Adult (aged 19+) essential skills participation

 Academic Year

Participation (historic)

Participation (new)

Difference

% Difference

2019/20

479,250

501,690

+22,440

+4.7

2020/21

415,730

430,730

+15,000

+3.6

2021/22

443,850

463,820

+19,970

+4.5

2022/23

448,060

470,240

+22,180

+5.0

2023/24

425,890

476,690

+50,800

+11.9

2024/25

385,060

453,340

+68,280

+17.7

Source: ILR (SN14)

3. Further Education

What is included in Further Education

Further education (FE) is post-secondary education covering education and training, and apprenticeships. These statistics aim to cover all FE support for adults (aged 19+) and all age apprenticeships in England. Historically funding for this provision has been through separate funds from those supporting school and post 16 education.

The overall FE and Skills statistics that we report provide information on all adult (aged 19+) FE learning, covering education and training (including tailored learning) and apprenticeships. For completeness, we also include under 19 apprenticeships and traineeships in FE data. Tailored learning also includes small numbers of learners who are aged under 19 and for completeness they are included in 19+ totals. Along with higher education (HE), schools and post-16 education, FE and skills forms the total of educational support in England.

FE includes learners who are studying courses at an FE College [1], with an external training provider or within their local community. It also includes employees undertaking an apprenticeship or other qualification in the workplace and FE studied at higher education providers.

FE courses range from essential English and maths skills through to national vocational qualifications (NVQs) and apprenticeships, up to master’s degrees.

Higher educational qualification levels (ie levels 4 to 7) supported by adult FE funding are included in FE statistics. These qualifications are typically delivered in FE colleges or by FE colleges in partnership with HE institutions, such as when part of an apprenticeship programme (refer to apprenticeships section below). 

FE covers publicly funded provision mainly through the adults skills fund (ASF) and some privately funded FE. However, privately funded FE is only included in these statistics where a learner is also undertaking publicly funded FE. Learners who do not have any publicly funded learning aims with a provider (ie all courses are entirely privately funded) are not included. Less than 3.5% of the FE reported within these statistics is privately funded.

In terms of geographic coverage, these statistics cover further education provision in England only. 

What is not included in Further Education

HE courses taken at universities and HE colleges funded through HE funding are not included as part of FE. This data is collected and reported separately by HESA (opens in new tab).

FE data does not seek to include post-16 education such as 16 to 18 (A level) attainment at sixth form colleges and schools. This data is published separately in other DfE statistics, such as the  A level and other 16 to 18 results release.

FE provision in Wales, Scotland and Northern Ireland is not included. The ‘Related statistics’ section of the methodology provides information on where to find data on FE provision in the rest of the UK outside England.

FE statistics publications

The statistics reported in the Further education and skills publication provide information on adult (aged 19+) FE and skills participation and achievements in England. Detailed information is provided on education and training, including: essential skills; Multiply; free courses for jobs; and tailored learning. The publication also includes national achievement rates tables (NARTs) and headline (national-level) apprenticeship figures. 

The statistics reported in the Apprenticeships publication provide detailed information on all age (16+) apprenticeships starts, participation and achievements in England. The publication also includes NARTs and until the 2022/23 academic year, information on traineeship starts, completion rates and conversions into apprenticeships.

Data in both publications is provided at national, regional and local level and includes information on learner characteristics, qualification level, subject and provider, with timeseries data for the last six years. 

We release four publications each year for both FE and Skills and Apprenticeships statistics, each reporting on data for the year to date. The first publication in January reports on the first three months of the FE academic year (August to October). This is followed by two updates in March and July and a final publication in November, which covers the full FE academic year (August to July).

It should be noted that the updates in March and July do not report on a single three month period, but instead provide cumulative figures for the year to date. For example, the update in March covers the six months from August to January, rather than only the three months from November to January.

The ‘Publication timetable and data sources’ section provides more information on the publication timetable and the time period covered in each release.

Types of further education

The FE reported here is split into two broad types, based on learning aims (that is, the intended outcome of an FE course): 

  • Apprenticeships (and Traineeships up to 2022/23); 
  • Adult Education and Training (including tailored learning)

Apprenticeships

An apprenticeship is a paid job that combines on-the-job and off-the-job training with a formal end-point assessment, leading to a nationally recognised qualification. As an employee, apprentices earn as they learn and gain practical skills in the workplace. Apprentices can be new or current employees.

Apprenticeships are available at qualification levels (opens in new tab) 2 to 7 and are labelled in the files and tables of this release as shown below:

Apprenticeship levelQualification levelEquivalent educational level
Intermediate2GCSE
Advanced3A level
Higher4,5,6 and 7HNC and above
Degree6 and 7Bachelor’s or master’s degree

Higher-level apprenticeships include degree apprenticeships, which are available at levels 6 and 7 and are equivalent to a full bachelor’s and Master’s. Degree apprenticeships combine work with study and may include a work-based academic qualification, or a professional qualification relevant to the industry.

The duration of apprenticeships is largely determined by their level, with higher-level apprenticeships generally taking longer to complete. Intermediate apprenticeships typically take 12 to 18 months to complete, advanced between one and two years and degree (level 6) apprenticeships 3 years or more.

In February 2025, the government announced the introduction of shorter and flexible apprenticeships (opens in new tab), along with new maths and English requirements. These changes mean businesses can now decide whether adult learners over the age of 19 when they start their apprenticeship course will need to complete a level 2 English and maths qualification (equivalent to GCSE) in order to pass it.

Apprenticeships frameworks and standards

In 2015 new employer-led standards were introduced to replace the existing frameworks, as part of the Apprenticeships Reform Programme (opens in new tab)

Frameworks:

Apprenticeship frameworks were withdrawn to new learners on 31 July 2020.

Frameworks were primarily qualification focused. The main aim at the end of a framework was for the apprentice to have achieved a competency-based qualification (eg NVQ) or a technical qualification (eg BTEC). However, frameworks had no overall end point assessment, which meant there was no mechanism in place to check if the apprentice had the right skills for their job.

An apprenticeship framework typically contained the following separately certified elements: 

  • A knowledge-based element (the theoretical knowledge underpinning a job in a certain occupation and industry, typically certified via a technical certificate).
  • A competence-based element (the ability to discharge the functions of a certain occupation, typically certified via work-based assessed national vocational qualifications (NVQs)).
  • Transferable skills (English and maths) – key skills / functional skills.
  • A module on employment rights and responsibilities.
  • Personal learning and thinking skills (PLTS): independent enquiry, creative thinking, reflective learning, team working, self-management, effective participation.

Standards:

Following a review and consultation on the future of apprenticeships in England (opens in new tab), the government announced reforms to apprenticeships in October 2013.

As part of these reforms, new employer-led apprenticeship standards were introduced in 2015. Initially known as trailblazers, they were introduced to fully replace the old frameworks system.

Standards are occupation-focused; unlike frameworks they are not qualification-led.

Apprenticeship standards are designed with employers to help ensure apprentices have the skills that businesses need. They outline the skills, knowledge and behaviours required to carry out a specific job role. Apprenticeship standards tend to be longer in duration than frameworks, with more off-the job training and a rigorous end-point assessment. All apprentices must take an independent assessment at the end of their training to demonstrate they have achieved the skills, knowledge and behaviours set out in the occupational standard. 

By the 2020/21 academic year, apprenticeship standards had almost entirely replaced frameworks. All new apprenticeship starts after 30 July 2020 have been on apprenticeship standards. However, there may still be some learners who have started on frameworks since then, where it has been agreed the learner can resume a previous framework after returning from an extensive break in their learning.

The government’s Become an apprentice (opens in new tab) guidance provides more information on apprenticeships.

Adult Education and Training

Adult Education and Training is mainly classroom-based adult further education that is not an apprenticeship. It includes adult essential skills, free courses for jobs, traineeships. Since 2022/23 it has included maths courses funded through the Multiply programme and from 2024/25 includes tailored learning. Adult Education and Training can also be delivered via distance learning and e-learning.

Tailored learning

From the 2024/25 academic year onwards tailored learning has replaced community learning. 

As part of the new ASF (adult skills fund), the term tailored learning brings together what was AEB (Adult Education Budget) community learning, formula-funded AEB non-regulated learning (previously delivered through adult skills) and any new employer-facing innovative provision that is not qualification based.

The primary purpose of tailored learning is to support learners into employment and to progress to further learning. It will also be used to support wider outcomes, including improving health and wellbeing, equipping parents/carers to support their child’s learning and developing stronger and more integrated communities.

Tailored learning courses are delivered and reported under the following purpose types:

  • engaging and/or building confidence
  • preparation for further learning
  • preparation for employment
  • improving essential skills (English, ESOL, maths, digital)
  • equipping parents/carers to support children’s learning
  • health and wellbeing
  • developing stronger communities

These are the same purpose types as those introduced for community learning in 2023/24.

Family learning:

Since the new purpose types do not include family learning, a new category (Adult Family Learning) was introduced to the ILR data collection to identify this subset of learning. Family learning supports adults to progress and helps parents and carers to be better equipped to support and encourage their children’s learning.

Tailored learning outcomes:

The tailored learning outcome is recorded when the learner has completed or withdrawn from their planned learning activities, against one of eleven areas. A learner may achieve more than one outcome area, but only the main outcome is recorded. Outcomes help to demonstrate how tailored learning is supporting learners to achieve positive outcomes.

Information on the outcome areas (opens in new tab) is provided in the ILR specification.

Community Learning

Community learning has been replaced by tailored learning, from the 2024/25 academic year onwards.

Community learning included a range of community based and outreach learning opportunities, primarily managed and delivered by local authorities and general further education colleges. Voluntary and community groups also organised community learning. 

Community learning was targeted at deprived areas and disadvantaged groups and designed to bring together adults, often of different ages and backgrounds. It helped adults improve their health and well-being, develop new skills and progress towards formal learning or employment. Courses tended to be non-formal in nature and included personal development, older people’s learning, IT courses, employability skills, family learning and activities to promote civic engagement and community development. 

Adult Essential Skills

Adult essential skills are English and maths courses for adults aged 19+ who do not have at least a GCSE grade 4 (previously a grade C) in these subjects. Courses include: English and maths GCSEs; awards in English and maths; Functional Skills; Qualifications and Credit Framework Certificates; and Adult Basic Skills Certificates, including English for Speakers of Other Languages (ESOL), which is designed to help learners improve their English language proficiency for life, work or further study.

Formerly reported as ‘Skills for Life’ and ‘Basic Skills’ within the FE and skills statistics, essential skills are designed to equip learners with the necessary basic reading, writing, maths and communication skills for everyday life. They also help learners to operate effectively in work and successfully complete subsequent training courses. Achieving a level 2 qualification in both English and maths is often required for further study, training and skilled employment.

Since the 2020/21 academic year, adult essential skills have also included digital skills qualifications, designed for adults with limited digital skills, or little to no experience of using computers. The essential skills reported in the FE and Skills statistics provide overall totals which include and exclude digital skills.

Free courses for jobs

The free courses for jobs (opens in new tab) offer was introduced in April 2021 and gives eligible adults the opportunity to access high value level 3 qualifications for free. Level 3 qualifications are equivalent to an advanced technical certificate or diploma, or A levels and help learners gain skills which can support them to find a better job and earn higher wages.

Traineeships

A traineeship is a course with work experience that gets young people ready for work or an apprenticeship. They can last from six weeks up to one year, though most traineeships last for less than six months.

Traineeships were introduced in the 2013/14 academic year, when they were available to young people aged 16 to 23. Since August 2014, traineeships have been available to young people aged 16 to 24.

Traineeships provide young people with essential English and maths skills and work experience, to help them secure an apprenticeship or other work.

They also support social mobility by providing training for young people who need to develop their skills and experience to enter the labour market. They are aimed at those young people who are motivated to work but lack the necessary skills and work experience to gain an apprenticeship or other job.

The standalone traineeship programme ended on 31 July 2023, with traineeships integrated back into the Study Programme and Adult Education Budget from 1 August 2023. Since the 2023/24 academic year, traineeships have not been included in apprenticeship statistics and in January 2024 the title of the statistics publication was changed from ‘Apprenticeships and Traineeships’ to ‘Apprenticeships’ to reflect this. Stand-alone traineeship data (final figures for the 2022/23 academic year) was published for the last time in November 2024, as an update to the 2022/23 Apprenticeships and traineeships publication.

Traineeships are now counted under education and training in the ‘Further education and skills’ publication, but are no longer reported separately.

More information on traineeships is available in the framework for delivery (opens in new tab) guidance published by DfE.

Multiply

Introduced in April 2022, Multiply (opens in new tab) is a government-funded programme of free, flexible courses to help adults improve their maths skills. Adults aged 19 or over who do not have at least a grade 4 (previously a grade C) in GCSE maths or equivalent are eligible for Multiply funding.

Categories of education and training qualifications

There are nine qualification levels (opens in new tab) in total, ranging from entry level to level 8 (doctorate). FE qualifications include all levels up to level 7 (master’s degree) and are grouped into categories for the adult education and training statistics, as shown in the table below:

 

Qualification categoryQualifications included
Essential skills 

English, maths, English for speakers of other languages (ESOL), functional skills, skills for life and from 2020/21 essential digital skills. 

The essential skills reported in the FE and Skills statistics include totals which include and exclude digital skills.

Below level 2 - excluding essential skillsLevel 1 national vocational qualification (NVQ), first certificate, level 1 award, level 1 certificate, level 1 diploma
Level 2Level 2 NVQ, level 2 award, level 2 certificate, level 2 diploma, GCSEs [2]
Full level 2

Level 2 NVQ, 5 or more GCSEs [2] 

A learner can be awarded a full level 2 qualification either by achieving a qualification which is a full level 2 in its own right, or by achieving separate qualifications which together amount to a full level 2 qualification.

Level 3Level 3 NVQ, A level, AS level, T Levels, advanced apprenticeship, level 3 award, level 3 certificate, level 3 diploma 
Full level 3

Level 3 NVQ, 2 or more A levels or equivalent.

A learner can be awarded a full level 3 qualification either by achieving a qualification which is a full level 3 in its own right, or by achieving separate qualifications which together amount to a full level 3 qualification.

Level 4+Certificate of higher education to master’s degree
No level assigned [3]No level has been assigned to the qualification

[1] FE colleges include: General FE Colleges (including Tertiary); Sixth Form Colleges; Land-Based Colleges (Agricultural and Horticultural Colleges); Art, design and performing arts colleges; and Institutes of Adult Learning /Specialist designated colleges. An up to date list of publicly-funded FE colleges (opens in new tab) is available from the Association of Colleges.

[2] All GCSEs are counted as level 2 enrolments, but only grades 9 to 4 (or A* to C) are counted as level 2 achievements.

[3] The number of qualifications with no level assigned has increased in recent years, largely due to the introduction of the new Multiply courses.

4. Funding

Adult (19+) education funding between the 2016 to 2017 and 2023 to 2024 funding years

Between August 2016 and July 2024 the majority of public funding for non-apprenticeship, 19+ further education in England was provided by the Education and Skills Funding Agency (ESFA) through the Adult Education Budget (AEB). Approximately 60% of the AEB was devolved (opens in new tab) to nine Mayoral Combined Authorities (MCAs) and the Greater London Authority.

The AEB replaced what had previously been three separate funding strands: adult skills, community learning and discretionary learner support. ESFA funded AEB aimed to engage adults (aged 19+) and provide the skills and learning they needed to progress into, or within, work; or equip them for an apprenticeship or other learning. It enabled more flexible tailored programmes of learning to be made available, which did or did not require a qualification. It also helped eligible learners engage in learning, build confidence, and/or enhance their wellbeing.

Detailed information on the AEB was set out in the ESFA’s funding and performance management rules  (opens in new tab).

The ESFA closed on 31 March 2025. All its activity and functions  (opens in new tab) were moved to the Department for Education (DfE), to help ensure financial improvement is central to school improvement.

Adult (19+) education funding from the 2024 to 2025 funding year onwards

In 2022 DfE ran a consultation  (opens in new tab) on further education funding and accountability. DfE published a response to this consultation in July 2023 which set out a new funding system, with the aim to both simplify the system and improve the outcomes achieved with taxpayer investment. As a result, the adult skills fund (opens in new tab) (ASF) has replaced the Adult Education Budget from the 2024 to 2025 funding year (1 August 2024 to 31 July 2025) onwards. 

The purpose of the ASF is to support adult learners to gain skills which will lead them to meaningful, sustained, and relevant employment, or enable them to progress to further learning which will deliver that outcome.

Encompassing the Adult Education Budget (including tailored learning [1]) and Free Courses for Jobs (FCFJ), ASF funding will flow either to authorities with devolution deals or to providers serving learners in authorities without devolution deals.

[1] As part of the new adult skills fund, tailored learning brings together what was AEB community learning, formula-funded AEB non-regulated learning (previously delivered through adult skills) and any new employer-facing innovative provision that is not qualification based.

As with ESFA funded AEB, DfE funded ASF includes support for 4 legal entitlements  (opens in new tab) to full funding for eligible adult learnersThese entitlements are set out in the Apprenticeships, Skills and Children Learning Act 2009 and enable eligible learners to be fully funded for the following qualifications: 

  • English and maths, up to and including level 2, for learners aged 19 and over, who have not previously attained a GCSE grade 4 (C), or higher, and/or
  • first full qualification at level 2 for learners aged 19 to 23, and/or
  • first full qualification at level 3 for learners aged 19 to 23
  • essential digital skills qualifications, up to and including level 1, for learners aged 19 and over, who have digital skills assessed at below level 1

In addition, learners who meet the residency eligibility criteria set out in section 1 of the ASF funding rules and are below the earnings threshold criteria or unemployed will also be fully funded for qualifications within policy entitlements, including:

  • free course for jobs
  • level 2 local flexibility
  • Heavy goods vehicle (HGV)
  • 19 to 24 work placements
  • SWAP
  • The King’s Trust (formerly known as Prince’s Trust)
  • English for speakers of other languages (ESOL)

An additional allocation for tailored learning is available to all grant funded providers, enabling the delivery of non-regulated provision.

Government contribution to funding

Information on the level of government contribution for funding is provided in the Government contribution charts (opens in new tab) of the ASF funding and performance management rules.

Local Flexibility

DfE funded ASF also supports delivery of flexible tailored provision for adults, including qualifications and components of these and/or non-regulated learning, up to level 2; this is known as local flexibility. For those learners who meet the earnings threshold or unemployed criteria this provision is fully funded. For those who do not meet the criteria, it is co-funded.

Learners with learning difficulties and/or disabilities

The ASF funds learners with learning difficulties and/or disabilities (opens in new tab), as set out in the Apprenticeships, Skills, and Children and Learning Act 2009.

The Department for Education is responsible for securing the provision of reasonable facilities for education and training suitable to the requirements of persons who are 19 and over. This includes learners with an identified learning difficulty and/or disability who have previously had an education, health and care plan (EHC plan) and have reached the age of 25.

Additional funding streams 

There are additional streams of funding for classroom-based adult education, which include:

Apprenticeship Levy

The apprenticeship levy is a tax on UK employers to fund new apprenticeships and is charged at a rate of 0.5% of an employer’s pay bill. The levy gives employers greater control over funding for apprenticeship training.

Introduced on 6 April 2017, the UK wide apprenticeship levy requires all UK public and private sector employers with an annual pay bill of £3 million or more to invest in apprenticeship training. 

The majority of the apprenticeship programme is now funded through the apprenticeship levy, although an organisation can choose to fund apprenticeships themselves. 

More information is available in the Pay Apprenticeship Levy (opens in new tab) guidance.

Apprenticeship Service

The Apprenticeship Service was introduced in England in 2017 as an online service which allows levy-paying employers to set up, manage and pay for apprenticeship training. In addition, employers can advertise apprenticeship vacancies on the Find an Apprenticeship platform. The service was extended to non-levy paying employers in January 2020.

All apprenticeships in England must now be managed through the apprenticeship service and employers must register for an Apprenticeship Service Account (ASA) to access the service. The amount of funds available in an employer’s ASA is dependent on how many of their employees live in England and the proportion of their pay bill paid to these employees. Employers can access their levy funds to spend on apprenticeships, manage apprentices, pay training providers and stop or pause payments to training providers. 

Funds in ASAs can only be used to pay for apprenticeship training and assessment. They cannot be used to cover other costs associated with apprentices, such as wages, statutory licenses to practise, travel and subsidiary costs, work placement programmes or the setting up of an apprenticeship programme.

Information on how to register and use the apprenticeship service as an employer is provided in the DfE’s How to register and use the apprenticeship service as an employer (opens in new tab) guidance. 

Apprenticeships are a devolved policy, meaning that authorities in each of the UK nations manage their own apprenticeship programmes, including how funding is spent on apprenticeship training.

Apprenticeship Levy Transfers 

Since 22 April 2024, large employers that pay the apprenticeship levy can choose to transfer up to 50% of their levy funds each year to other businesses, to help pay for their apprenticeship training and assessment.

The transfer limit was 25% between 1 April 2019 and 21 April 2024 and 10% between April 2018 and March 2019 (when the levy was first introduced).

More information on apprenticeship levy transfers is provided in the ESFA’s Transferring your apprenticeship levy to another business (opens in new tab) guidance. 

Non-levy payers

Prior to 9 January 2020 employers who did not pay the apprenticeship levy (with the exception of those receiving a transfer) accessed apprenticeship training via their selected training provider, who was given an allocation of funds for apprenticeship training from the ESFA. The provider claimed for these funds against their allocation using the Individualised Learner Record, as was the case before the introduction of the levy.

From 9 January 2020, the apprenticeship service was extended to all non-levy paying employers to register and use. Employers who do not pay the apprenticeship levy are able to make a funding reservation (or have a funding reservation made on their behalf) with respect to an apprenticeship planned to start in the following 3 months. This gives non-levy paying employers access to the benefits of the system and enables them to reserve funds to support their training requirements.

Until autumn 2020 employers who did not pay the apprenticeship levy were able to access apprenticeship training either through a provider with an existing Government contract or via the apprenticeship service. Since April 2021, all new apprenticeship starts have been managed through the apprenticeship service.

Advanced Learner Loans

Advanced learner loans are available to learners aged 19 or over to undertake approved qualifications at levels 3 to 6, at an approved provider in England. Advanced learner loans (opens in new tab) give learners access to financial support for tuition costs, similar to that available in higher education and are administered by Student Finance England.

The amount of funding depends on the type of course, course fees and the maximum loan available for the course. The minimum loan a learner can get is £300 and is paid directly to the provider. Loan balances owed for Access to HE courses are written off once the learner has completed a higher education course, presuming the HE course is eligible for student finance. 

5. Publication timetable and data sources

Publication timetable

The publication timetable of further education (FE) statistics is determined by the Individualised Learner Record (ILR) data collection.

The ILR collects data for the FE funding year, which runs from 1 August to 31 July and is the principal source of data for DfE’s apprenticeship and FE and skills statistics.

The FE academic year covers the same period as the FE funding year, that is 1 August to 31 July.

We release four publications each year for both FE and Skills and Apprenticeships statistics. The first publication in January reports on the first three months of the FE academic year (August to October). This is followed by two updates, which report on FE statistics for the year to date: the update in March covers the six months from August to January and the next update in July covers the nine months from August to April. The final publication in November covers the full FE academic year (August to July).

It should be noted that the updates in March and July do not report on a single 3 month period, but instead provide cumulative figures for the year to date. For example, the update in March provides data for the six months from August to January, rather than only the three months from November to January.

The ILR data collection and DfE publication timetable is shown below:

ILR snapshotILR return monthDfE StatisticsDfE Publication monthPeriod covered by DfE Statistics
R01SeptemberNot applicableNot applicableNot applicable
R02OctoberNot applicableNot applicableNot applicable
R03NovemberNot applicableNot applicableNot applicable
R04DecemberFE and Skills
Apprenticeships
January1 August to 31 October 
R05JanuaryNot applicableNot applicableNot applicable
R06FebruaryFE and Skills
Apprenticeships
March1 August to 31 January   
R07MarchNot applicableNot applicableNot applicable
R08AprilNot applicableNot applicableNot applicable
R09MayNot applicableNot applicableNot applicable
R10JuneFE and Skills
Apprenticeships
July1 August to 30 April 
R11JulyNot applicableNot applicableNot applicable
R12AugustNot applicableNot applicableNot applicable
R13SeptemberNot applicableNot applicableNot applicable
R14 (final)OctoberFE and Skills
Apprenticeships
November1 August to 31 July (full FE academic year)

The latest data freeze schedule is included in the ILR standard file specifications and reference data. (opens in new tab)

FE statistics are published at 9:30am on Explore Education Statistics on a date which is pre-announced on gov.uk (opens in new tab)

Data sources

Individualised Learner Record (ILR)

The Individualised Learner Record (ILR) is the principal data source for the statistics included in the ‘Apprenticeships’ and ‘Further education and skills’ publications. The ILR (opens in new tab) is an on-going data collection of data about learners from training providers in the FE and skills sector in England. The data collected in the ILR is used to ensure that public money is being spent in line with government targets for quality and value for money, for planning, and to make the case for the sector in seeking further funding.

Training providers collect information about each of their learners, the learning they are doing, and the learning outcome once it is known. Providers must return this information monthly to the DfE, through the Submit learner data (opens in new tab) service.

The first return of data is in September (R01 collection), followed by monthly collections until August (R12). There are then two additional collections, R13 in September and R14 in October, which give providers time to record and return learning outcomes, such as GCSE results. 

Information collected in the ILR is used by DfE to produce FE and apprenticeship statistics, including data by provider name, type and location; learner participation and achievements; and learner characteristics (for example, sex and age).

The R14 collection is the final version of the data and is used to produce final statistics on the full FE academic year (August to July) each November. 

More information on the ILR can be found in the latest specification (opens in new tab).

Information on ILR data quality is provided under ‘Accuracy and Reliability’ in the Quality section of the methodology.

Scope of the ILR data collection

ILR returns are required from providers who receive funding through the adult skills fund (ASF), or Advanced Learner Loans. 

Providers are grouped into two broad types for the purpose of the ILR collection:

Colleges, also referred to as ‘grant funded’, covering:

  1. General FE colleges, Tertiary, Sixth-form, Specialist Colleges, and Academies
  2. Sixth Form Colleges
  3. Local authorities
  4. Higher Education Institutions.

Training organisations, also referred to as ‘contract funded’, covering:

  1. An organisation whose main area of business is education and/or training, but which is not a college or local authority
  2. A ‘loans only’ training provider with a facility to deliver only Advanced Learner Loans funded provision.

All providers must return ILR data for learners for whom they receive direct funding from the ASF through any of the following funding models:

  1. 16-19 (excluding apprenticeships)
  2. Adult skills
  3. Community learning
  4. Apprenticeships (from 1 May 2017)
  5. Other Adult funding, or
  6. Other 16-19 funding
  7. Adult Education Budget Devolution
  8. Skills Bootcamps

This includes learners who are subcontracted out to other providers. There are some circumstances in which learners who are not funded by the ASF must be included in ILR returns. Providers must also return ILR data for learners who are financed by Advanced Learner Loans. 

Changes to the ILR

The Leitch review of skills (opens in new tab) published in 2006, recommended a move towards a ‘demand-led’ funding for vocational education and training within the FE sector, with employers being directly involved in deciding training priorities. Subsequently, in 2008/09, the then Learning and Skills Council introduced a new demand-led funding methodology. This resulted in extensive changes to the data collection and funding arrangements for the ILR; including the frequency of collections and the data requested for submission.

There were further changes to the ILR in 2011/12, with the introduction of a ‘single individualised learner record’ (SILR) collection replacing the multiple separate ILR collections used in previous years. Since then, providers have returned all information on all their learners in a single data file.

The ILR data undergoes a review each year which allows for variables to be removed, changed or added from the collection. To facilitate updates DFE requires internal and external users to submit their requirements through a business case. DfE then discuss the request with the user and a final decision is made through the ILR change board. Where changes are made, they are included in the ILR data specification and communicated in advance of the collection, giving users time to implement changes to their management information and data processing systems.

Uses of the ILR

As well as being the principal data source for FE and apprenticeships statistics, some other key uses of ILR data include: 

  • Informing national planning, including policy development and modelling.
  • Informing local FE funding and provision;
  • Monitoring the quality of FE provision;
  • Informing the work of Ofsted and other agencies;

and

  • Ensuring public money is spent in line with government targets for quality and value for money.

Apprenticeship Service data

Data collected by the Apprenticeship Service (opens in new tab) is increasingly being used as a source of data for apprenticeship statistics, including for information on levy-paying and non-levy organisations, registrations, commitments, transfers, redundancies and the public sector apprenticeship target.

The public sector apprenticeship target (opens in new tab) was introduced in 2017. Prescribed groups and public sector bodies with 250 or more staff in England had a target to employ an average of at least 2.3% of their staff as new apprentice starts annually over the period 1 April 2017 to 31 March 2021. The public sector apprenticeship target ended on 1 April 2022 and there is no longer a set target for public sector employers. However, data continues to be collected on a voluntary basis; the data is self-declared information on organisation headcounts and apprentice recruitment and is submitted to the DfE by each public sector body that has determined itself to be in scope.

Find An Apprenticeship

The apprenticeship adverts and vacancies data are derived from Find An Apprenticeship (opens in new tab) (FAA), a digital system supporting apprenticeship advertisement and recruitment. However, they represent only a subset of the total number of vacancies available across the marketplace, as not all apprenticeships are advertised through this website.

Learner Record Service 

The Learner Record Service (opens in new tab) allows providers to create a Unique Learner Number (ULN) for learners aged 14 and over. 

The associated personal learning record (PLR) is an online record of qualifications and achievements for learners aged 14 and over.

The ULN and PLR enable qualification data from awarding organisations to be shared securely and efficiently within the education and skills sector.

Learner Aims Reference Service 

The Learning Aim Reference Service (opens in new tab) (LARS) is an online reference library of all qualifications DfE fund or have funded. LARS provides information about learning aims for colleges, training organisations and employers and helps users record the correct learning aim code when they submit their ILR returns. DfE analysts can then use LARS to match contextual information about the learning aim, for example the name and level of course, when they produce FE statistics.

Awarding organisation data 

Awarding organisations (or bodies) design, develop, deliver and award qualifications. A list of awarding organisations is available from the Ofqual register (opens in new tab).

Awarding organisations hold data on learners and the qualification grades they have achieved. Ofqual gather (opens in new tab) information on regulated qualifications from awarding organisations on a regular basis. This data then feeds into databases including ILR, LRS and the National Pupil Database. 

Student Loans Company

We use Student Loans Company to publish information on the number of applications received and approved for advanced learner loans and the total loan amount awarded.

Office for National Statistics 

Population estimates from the Office for National Statistics (opens in new tab) (ONS) are used as the denominator in the calculation of FE participation rates.

Historical data sources

Previously, other data sources have been used to produce published FE statistics, including pilot data (eg, EOP/LEOP data), Ofqual data and data from the Labour Force Survey. However, these sources are no longer used. Refer to Historic FE provision and statistics section for more information. 

Data flows 

The diagram below shows the FE data flow from the data collection stage, through data processing to the point where it reaches a useable format in the data warehouse. From here a number of data outputs are produced, including the FE and apprenticeship national statistics.

Diagram of how the data processing fits together

 

6. National achievement rate tables

About NARTs and QARs

Qualification Achievement Rates (QARs) give a measure of how well further education (FE) colleges and other training organisations perform each year. Individualised learner record data is used to calculate what proportion of learning was successfully completed, with the result shown as a percentage figure. 

Since 2020, QARs have been published annually (each March) in the national achievement rates tables (NARTs), as part of the Apprenticeships and Further Education and Skills series of statistics releases.

NARTS are summary indicators of performance in apprenticeships and education and training. They show achievement, pass and retention rates for FE leavers at national and provider level. NARTs enable FE colleges and training organisations to benchmark their performance against, for example, other providers and national averages. A three-year time series is included in each publication. 

Prior to 2020 NARTs were published in a separate statistics collection (opens in new tab).

How rates are calculated

Achievement rates are based on the individual qualification aims that were completed in the relevant year (the Hybrid End Year). They are calculated as the number of aims achieved divided by the number started, excluding the aims of any learners transferred to another qualification within the same provider. 

Retention rates are based on the individual aims that were successfully completed in the relevant year (the Hybrid End Year). They are calculated as the number of learning aims completed divided by the number of leavers.

Pass rates are based on the individual aims that were successfully completed in the relevant year (the Hybrid End Year). They are calculated as the number of learning aims achieved divided by the number successfully completed.

Note: the Hybrid End Year is the later of the Expected End Year and Actual End Year, or the reporting year of a qualification

Rates are shown as a percentage.

DfE’s Introduction to Qualification Achievement Rates (opens in new tab) guidance provides a comprehensive set of resources on QARS, including information on how they are calculated.

Clarification regarding GCSEs

This release sources data from the Individualised Learner Record. The outcome field is used to define achievement.  Level is determined from the LARS reference data. This release does not use the grade field to distinguish the specific level of achievement. This is important when considering figures which include data for the GCSE qualification type.  

To help users understand the proportions of GCSE learners achieving a level one compared to those achieving a level two, we have included two new data tables which include breakdowns by high grade and low grade. One shows the overall totals for England, the other shows breakdowns by individual providers.

7. Public sector apprenticeships

Public sector apprenticeship returns from 2024-25

There is no longer a statutory target for public sector apprenticeships. Given the burden placed on public sector organisations to submit their employee and apprenticeship data to the department, we sought feedback from providers to establish the relevance of these statistics going forwards. The feedback confirmed that there would be no detrimental effect from ending the collecting and reporting of public sector apprenticeships data. The department has therefore ceased the collection and publication of this data from 2024-25.

The final release of public sector apprenticeship statistics in this series was published in November 2024

Public sector apprenticeship returns from 2022-23 to 2023-24

The public sector apprenticeships target ended on 31 March 2022, with no target set for public sector employers after this date. However, the Department for Education (DfE) continued to collect and publish (opens in new tab) this data, to support transparency and external accountability. The information collected and reported was the same as that submitted by employers for the public sector apprenticeship target. 

For 2023-24, further education colleges, sixth form colleges and designated institutions were included, following their reclassification by the Office for National Statistics (opens in new tab) to the central government sector. 

The public sector apprenticeship target

The public sector apprenticeships target (opens in new tab) was introduced by the government in April 2017. Public sector bodies in England with 250 or more staff were set a target to employ an average of at least 2.3% of their staff headcount as new apprentice starts over the period 1 April 2017 to 31 March 2021. 

This included data on their:

  • new apprenticeship starts;
  • total number of apprentices; and
  • organisational headcount

The target was repeated for the period April 2021 to March 2022, as a single-year stand-alone target. The scope and the target remained the same. In making workforce planning decisions bodies in scope were expected to actively consider apprenticeships either for new recruits or as part of career development for existing staff. 

For public sector bodies in scope, the target measured new apprenticeship starts (including both existing staff and new recruits who started an apprenticeship) as a percentage of total headcount of staff at the beginning of the reporting period. The initial target was an average over four years, split into individual reporting periods covering the financial year (1 April to 31 March). 

The reporting periods were: 

  • 1 April 2017 to 31 March 2018
  • 1 April 2018 to 31 March 2019
  • 1 April 2019 to 31 March 2020
  • 1 April 2020 to 31 March 2021

The same 2.3% target was also set for the single-year reporting period 1 April 2021 to 31 March 2022. 

Data collection process

Public bodies in scope were required to submit a Data Publication and Activity return to the DfE for each reporting year of the apprenticeship target. In their returns, public bodies provided self-reported information on the employment period and headcount relating to the target. Individual bodies were responsible for managing their data collection. They were also responsible for publishing their apprenticeship target data independently, as well as submitting data to DfE for publication.

Most levy-paying public bodies sent their return through their Apprenticeship Service Account (ASA) by completing a digital form. Non-levy paying employers in scope of the target or grouped bodies under a single ASA completed a separate spreadsheet form via email. Cabinet Office (on behalf of the Civil Service) and the Armed Forces also submitted spreadsheet forms.

The downloadable underlying data (opens in new tab) for the target exactly replicated the information supplied by public sector bodies. As such, the accuracy of these submissions could not be completely verified in all aspects, although validation checks were undertaken and some bodies removed from the calculation of aggregated numbers and flagged in the underlying data.

Data requested from public sector bodies 

Public bodies in scope of the target were required to provide an annual report of two parts to the DfE. Bodies in scope had to provide the information listed below. 

  • The Data Publication Return (containing quantitative data for publication): This included figures to enable an assessment of the progress a body made towards meeting the target. This information had to be published by bodies and accessible to the public. 
FigureDescription
The number of employees whose employment in England by the body began in the reporting period.
BThe number of apprentices who began to work for the body in that period and whose apprenticeship agreements began in that period. This includes employees who were already working for the body before beginning their apprenticeship, as well as new apprentice hires.
CThe number of employees employed in England that the body has at the end of that period.
DThe number of apprentices who work for the body at the end of that period.
EFigure B expressed as a percentage of figure A.
FFigure D expressed as a percentage of figure C.
GThe number of apprentices who worked for the body immediately before that period.
HHeadcount at 31 March of each reporting period.
IFigure B expressed as a percentage of figure H. This figure enabled the government to assess the progress a body made towards meeting the target.
  • Apprenticeship Activity Return (containing qualitative information) included both information on a body’s progress against the target and information to assess actions taken towards, and challenges faced in, meeting the targets. 

The headcount (figure H) was for 31 March each year and included members of staff on the body’s payroll including apprentices, on whose behalf the public body made National Insurance Contributions. 

The headcount included: permanent members of staff; members of staff on a fixed-term contract; those who worked full-time as well as part-time; other members of staff with a fixed-term contract; staff on maternity, paternity or adoption leave; staff on sick leave or any other type of extended paid leave; apprentices employed by the public body through an Apprenticeship Training Agency (ATA); or employees on secondment or loan only if the organisation paid for the majority or all of their wages. 

The headcount excluded staff employed through employment agencies; those who worked a zero-hour contract; bank staff; employees in sub-contracted organisations not paid directly from the payroll; or those on career breaks.

Apparent inconsistencies in the apprentice data submitted for each reporting year by an individual body were in many cases explained by a change in structure in the body (for example, a merger).

Public bodies in scope 

All public bodies (except those listed below) with a headcount of 250 or more in England at the start of a reporting period were in the scope of the target. Primary legislation defines a public body as a public authority; or body or other person that is not a public authority but has functions of a public nature and is funded wholly or partly from public funds. 

The following organisations were excluded from the target: 

  • BBC
  • Channel 4 
  • House of Commons
  • House of Lords 
  • Post Office Ltd and subsidiaries
  • Further Education colleges
  • Universities
  • Housing Associations
  • Housing Trusts
  • Independent Schools
  • Financial bodies that are partly state owned
  • Charities

Academy trusts with 250 or more staff came within scope from 31 March 2018. These bodies were not required to report on apprenticeship starts for the period between 1 April 2017 and 31 March 2018 but those that did were reported under the ‘Other’ sub-sector within the published statistics. 

Police forces were required to include police officers within their headcount when calculating their progress from 31 March 2018. 

Schools with a workforce of 250 or more in England were also in scope; the exception were fee-paying independent schools. Schools maintained by another body and where that body was the employer, such as a local authority or governing body that controlled more than one school, were expected to be included in the maintaining body’s target.

Coverage

It is difficult to give a completely accurate measure of the coverage of the submissions received. An internal mapping based on ASA names identified those that appear to be public sector but not all those flagged were necessarily in scope (for example, some had fewer than 250 staff). 

A small number of returns were submitted through ASAs that were not identified as public sector bodies. These returns were included in the downloadable underlying data but not included in the calculation of national and sub-sector averages.

In the final year of the statutory target, a comparison of 2021-22 submissions with our mapping of accounts suggested that at least 75% of all public sector bodies in scope, irrespective of size, made an official return. Further to this, linking accounts to starts recorded on the ILR suggested that almost 90% of all public sector starts were accounted for in the bodies that made an official return. Despite moving to a voluntary collection, the number of returns was higher for the 2022-23, with returns then dropping back closer to previous levels in 2023-24.

During the period of the target there were changes between years (particularly in the final year, 2021-22), which should be taken into consideration when evaluating the data, including:

  • some bodies that submitted in previous years did not supply data for 2021-22
  • some bodies submitted data for the first time for 2021-22
  • some bodies either fell in or out of scope of the target based on the 250 headcount threshold
  • multi academy trusts were not required to submit data in 2017-18

Aggregate headcount and apprentice figures and associated percentages were provided separately for the start and end of each reporting year. For the period of the initial four-year target (1 April 2017 to 31 March 2021), the average percentage of employees starting an apprenticeship was calculated as a weighted average.

8. Quality

According to the Code of Practice for Statistics (opens in new tab), quality means that statistics fit their intended uses, are based on appropriate data and methods and are not materially misleading. We measure quality in terms of the five quality dimensions of the European Statistical System (opens in new tab)

  • Relevance; 
  • Accuracy and Reliability; 
  • Timeliness and Punctuality; 
  • Accessibility and Clarity; and 
  • Comparability and Coherence

More information on the quality dimensions is provided in annex B of the Government Statistical Service (GSS) Quality Strategy (opens in new tab).

Relevance 

Relevance is defined as the degree to which statistics meet the current and potential needs of users in both coverage and content. We regularly engage with users and ensure they are at the forefront of the iterative improvement to our collections.

The FE statistics we publish give insight into participation and learner outcomes in the FE and Skills sector, including apprenticeships. This enables users to see how participation and outcomes in government funded FE qualifications changes over time.

In recent years we have changed what we publish and the frequency of our releases to ensure our statistics are relevant, up-to-date and fulfil a broad range of user needs. This has included increasing the granularity of the data we publish and adding outputs which report on new data. We have stopped publishing statistics which are no longer relevant, or have been replaced. Some of these changes have been the result of internal consultations and others user feedback, as outlined in Changes to Further Education Statistics, including Apprenticeships, in 2018 (opens in new tab)

In terms of our internal users, we engage regularly with policy colleagues to understand the latest policy requirements. This ensures that the statistics we publish are relevant and support the department’s policies. For example, after the introduction of the apprenticeship levy and the apprenticeship service in 2017, we published monthly updates on apprenticeship starts until 2023/24. This allowed policy colleagues to closely monitor the impact of apprenticeship reforms and also aided transparency.

We regularly engage with our key external stakeholders, including local authorities, providers and employers. For example, we have worked with Devolved Mayoral Combined Authorities and the Greater London Authority to ensure our statistical publications met their request for additional data breakdowns. Several new statistical products were developed as a result of this engagement, including new breakdowns of FE participation funded through the Adult Education Budget and the power bi dashboard which allows users to breakdown non-apprenticeship FE data by each active devolved area.

We also regularly review the content of data requests, for example via PQs and FOIs, to identify areas where the data we publish could better meet user needs. 

Accuracy and Reliability

Accuracy is the closeness between an estimated result and the (unknown) true value.

Reliability is the closeness of early estimates to subsequent estimated values.

The Code of Practice for Statistics (opens in new tab) states that information on accuracy should be monitored and reported regularly to users. 

The quality assurance of FE Statistics is managed in accordance with the GSS Quality Statistics in Government guidance  (opens in new tab)and the Office for Statistics Regulation Quality Assurance of Administrative data (opens in new tab)

Accuracy is managed by:

  • Automated DfE validation checks of data submitted by providers to the ILR.
  • DfE quality assurance of the data in the FE data warehouse; where required DfE analysts consult with data warehouse colleagues to understand and resolve data quality issues.
  • Robust quality assurance processes throughout the statistics production process; increasingly this is based on automated processes and checking routines alongside formal quality assurance checklists.
  • Highlighting limitations of the data and statistics we produce.
  • Indicating where figures are provisional and are subject to change.
  • Using footnotes to explain caveats and how we have applied suppression and rounding, to maintain learner confidentiality.
  • DfE regularly reviewing ILR collections and specifications to help improve data quality and accuracy. 
  • DfE reviewing and determining the specification for new data collection items, which are required to support new government policies or improve data coverage and accuracy.

The ‘Methodology changes and data continuity’ section provides more information on the issues with using provisional in-year data and comparing data between years.

Reliability

The principal source of the FE and apprenticeships statistics we publish is the Individualised learner record (opens in new tab) (ILR); an on-going collection of data about learners from training providers in FE. 

The main purpose of the ILR collection is for funding and to ensure government targets for quality and value for money in the FE sector are being met, rather than the production of DfE statistics. This means there are some limitations to the data, with some data items more reliable than others:

For example, Learners with Learning Difficulties or Disabilities (LLDD) and ethnicity are based on information self-reported by the learner. Some data items are optional, for example date of birth is not mandatory for learners who are undertaking only community learning and do not have a ULN. On the other hand, the learning aim is required for funding purposes and must be recorded for all courses, which means this data item is complete and therefore more reliable. 

Overall, DfE validation and quality checks help to ensure ILR data is both accurate and reliable.

Timeliness and Punctuality

Timeliness is the lapse of time between publication and the period to which the data refers. Punctuality is the time lag between the actual and planned dates of publication.

We release four publications each year for both FE and Skills and Apprenticeships statistics. The first publication in January reports on the first three months of the FE academic year (August to October). This is followed by two updates, which report on FE statistics for the year to date: the update in March covers the six months from August to January and the next update in July  covers the nine months from August to April. The final publication in November covers the full FE academic year (August to July).

It should be noted that the updates in March and July do not report on a single three month period, but instead provide cumulative figures for the year to date. For example, the update in March covers the six months from August to January, rather than only the three months from November to January. 

The timing of FE statistics publications is determined primarily by the availability of ILR and Apprenticeship Service data. Providers make their ILR returns on monthly basis, which are processed and quality assured within DfE before being made available via a data warehouse to internal DfE users. 

The publication schedule is shown in the table below:

ILR snapshot ILR snapshot return monthDfE Statistics PublishedPeriod covered by DfE statistics
R04DecemberJanuaryAugust to October
R06FebruaryMarchAugust to January
R10JuneJulyAugust to April
R14 (final)OctoberNovemberAugust to July  (full academic year)

Note: a full schedule of the ILR data collection and DfE publications is provided in the ‘Publication timetable and data sources’ section.

The latest data freeze schedule is included in the ILR standard file specifications and reference data. (opens in new tab)

FE statistics are published on Explore Education Statistics at 9:30am on a date which is pre-announced in advance on gov.uk (opens in new tab)

Data lag

Providers revise their ILR data throughout the year, for example by adding new learners, removing learners or amending information on existing learners. Furthermore, not all new activity is captured in each return and may instead be included in a later return. This leads to data lags and means figures can go up or down between data collections and publications. Only the final publication in November of each year, which is based on final (R14) ILR data, provides a complete account of FE and apprenticeships for the entire academic year.

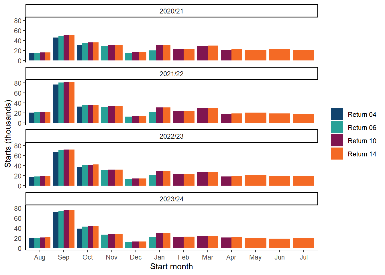
The table below shows apprenticeship starts data lag for the 2023/24 academic year: the data first reported for August in the R04 return was 94.9% of the final figure for August recorded in the R14 return, by R06 this had increased to 97.2% and by R10 it was 98.8%. Equivalent figures for 2022/23 were 95.5%, 96.8% and 99.2% respectively.

Underreporting in the last month of the first three quarters of the academic year (October, January and April respectively) tends to be greater than in the first two months of each quarter, as there is less time to report starts. This is particularly noticeable for January, in the second quarter. For example, only 75.4% of the total number of starts in January of the 2023/24 academic year were reported in R06 compared to the number reported in the final R14 return; the equivalent figure for 2022/23 was 73.6%.

Underreporting for apprenticeship achievements is higher than for starts, but has improved in recent years. For example, in the 2020/21 academic year, 81.9% of achievements that occurred in August were reported in R04, whereas by 2023/24 this figure had risen to 93.0%. Similarly in 2020/21, 88.7% of the achievements that occurred in August were reported in R06; by 2023/24 it was 95.7%. The larger data lags for achievements compared to starts are expected, as it is more likely there will be delays in reporting final assessments and outcomes, particularly during years affected by the impact of Covid-19.  

Education and training enrolments underreporting is similar to that for apprenticeship starts for the R04 return, with 98.4% of enrolments which occurred in August of the 2023/24 academic year reported in R04; the equivalent figure for 2022/23 was 96.5% and in 2020/21 it was 94.5%.

It is not possible to provide data lag figures for education and training participation, as this is a continuous record and therefore does not have a start point to compare when the record was actually made to when it could first have been made.

In-year data lag percentages may be greater than 100 for some returns. This occurs when providers make revisions downwards for earlier periods in their final (R14) data return. 

Time-series of apprenticeships starts and achievements and education and training data lag analysis are provided in Annex 6.

Table showing apprenticeship starts data lag for 2023/24

SnapshotAugustSeptemberOctoberNovemberDecemberJanuaryFebruaryMarchAprilMayJuneJuly
R0494.994.588.1
R0697.298.797.497.394.175.4
R1098.899.899.999.7100.099.398.898.295.0
R14100.0100.0100.0100.0100.0100.0100.0100.0100.0100.0100.0100.0

Chart showing apprenticeship starts data lag, 2020/21 to 2023/24

Chart 1: Data lag

Accessibility and Clarity

Accessibility is the ease with which users can access the data.

Clarity is the quality and sufficiency of the metadata, illustrations and accompanying advice.

All DfE statistics are now published via GOV.UK on the Explore Education Statistics (EES) service, which provides a clear and consistent presentation of the department’s statistics in an accessible format.

EES includes downloadable underlying data files and a table tool, which enables users to build their own tables from the underlying data.

Comparability and Coherence

Comparability is the degree to which data can be compared over time and by domain. Coherence is the degree to which the statistical processes, by which two or more outputs are generated, use the same concepts and harmonised methods.

Each FE statistics publication includes data for the latest six years, with data for earlier years available in previous releases. The earlier data can be accessed from the ‘Releases in this series’ section of the FE publication homepage. Older data is available in the FE data library (opens in new tab). We include information on changes to measures or the ILR collection which may affect comparability over time. We also include information on reorganisation of local areas, which may prevent direct geographical comparisons between years.

Where an event, such as the covid-19 pandemic, has caused substantial disruption, we have included information to explain the impact on FE provision. Furthermore, when there is a change to the method used to produce existing measures we provide information on the changes and a revised time series of data based on the new methodology.

More information on comparability is provided in the ‘Methodology changes and data continuity' section.

9. Calculation of Measures

The methods used to calculate the measures published in the FE and Skills and Apprenticeships statistics are outlined in the tables below.

Refer to the ‘Methodology changes and data continuity' section for information on changes to the methodology and data collections which have affected the calculation of measures and their comparability over time.

The information in this section does not cover the methods used to calculate national achievement rate tables (NARTS). More information on this is provided in the ‘National achievement rate tables’ section of the methodology.

For each update or full FE academic year [1]:

FE and Skills (source: Individualised learner Record)

MeasureCalculation
All Further Education and Skills Participation

A count of the number of learners who attended at least one day on a learning aim, including education and training and apprenticeships.

A learner who is studying more than one learning aim at different levels or different community learning purpose types, is counted once against each level or type. 

Furthermore, a learner is counted only once in any total (e.g. national) count of participation, regardless of how many different learning aims they have.

All Further Education and Skills Enrolments

A count of enrolments in education and training and apprenticeships aims, including component aims. 

Learners are counted for each learning aim they are studying and may be counted more than once. 

Enrolments are therefore a count of all learner aims, rather than a count of individual learners.

All Further Education and Skills Achievements

A count of the number of learners who successfully completed at least one education and training or apprenticeship learning aim. 

A learner who achieves more than one learning aim at different levels or learning types is counted once against each level or type. 

Furthermore, a learner is counted only in any total (e.g. national) count of achievements.

Note: this measure is calculated as a count of successfully completed learner aims (rather than learners) for breakdowns by subject.

Education and Training  Participation 

A count of the number of learners who attended at least one day on an education and training learning aim. 

A learner who is studying more than one learning aim at different levels is counted once against each level. 

Furthermore, a learner is counted only once in any total (e.g. national) count of participation, regardless of how many different learning aims they have.

Note: Participation in the Multiply programme is also calculated using this method.

Education and Training  Enrolments

A count of education and training enrolments at aims level, including component aims. 

Learners are counted for each learning aim they are studying and may be counted more than once. 

Enrolments are therefore a count of all learner aims, rather than a count of individual learners.

Note: Enrolments in the Multiply programme are also calculated using this method.

Education and Training Achievements

A count of the number of learners who successfully completed at least one education and training learning aim. 

A learner who achieves more than one learning aim at different levels is counted once against each level. 

Furthermore, a learner is counted only once in any total (e.g. national) count of achievements.

Note: Achievements in the Multiply programme are also calculated using this method

Note: this measure is calculated as a count of successfully completed learner aims (rather than learners) for breakdowns by subject.

Tailored Learning Participation

A count of the number of learners who attended at least one day on a tailored learning aim. 

A learner who is studying different tailored purpose types, is counted once against each type. 

Furthermore, a learner is counted only once in any total (e.g. national) count of participation, regardless of how many different learning aims they have.

Tailored Learning Achievements

A count of the number of learners who successfully completed at least one tailored learning aim.

A learner who achieves more than one learning aim at different levels or learning types is counted once against each level or type. Furthermore, a learner is counted only once in any total (e.g. national) count of achievements.

All Further Education and Skills/ Further Education/ Education and Training /Tailored Learning rates per 100,000 population 

Rates per 100,000 population are calculated for participation and achievements in overall further education and skills, education and training and tailored learning. 

The latest available Office of National Statistics (ONS) estimates for the working-age (19 to 64) population (small area based by single year of age for England) is used for the denominator. 

Advanced Learner Loans Participation

A count of learners aged 19+ participating on a level 3 to 6 course who were in receipt of an advance learner loan.

A learner who is studying more than one course, is counted once against each level. 

However, a learner is counted only once in any total (e.g. national) count of Advanced Learner Loans participation, regardless of how many different courses they are studying.

Level 3 free courses for jobs (FCFJ) enrolments / achievements

A count of enrolments/achievements on courses included on the ‘free courses for jobs' national qualification list, by learners who:

  1. are 19 or over, do not already have a level 3 qualification and do not have a statutory entitlement to the course through the adult education budget

or

  1. already have a level 3 qualification or higher but earn below the annual National Living Wage (from April 2022)

or

  1. already have a level 3 qualification or higher but are unemployed

and

  1. are not enrolled on the course as part of an apprenticeship

Eligible learners are not limited only to those on the Adult Level 3 Offer – they include learners who do not receive direct funding, but are enrolled and meet the above criteria.

Apprenticeships (source: Individualised learner Record)

MeasureCalculation
Apprenticeship Participation

A count of the number of learners who participated in an apprenticeship at any point.

An apprentice who is participating in more than one apprenticeship but at different levels, is counted once against each level.

Furthermore, an apprentice is counted only once in the total (e.g. national) count of apprenticeship participation, regardless of how many different apprenticeships they participate in.

Apprenticeship Starts

A count of apprenticeship programme starts. An apprentice is counted for each apprenticeship they start at a provider and therefore may be counted more than once in a given time period.

For example: if an apprentice changes to a new programme, level or pathwayduring an academic year with the same or a different provider, the new programme will be counted as a start.

This measure is consistent  with how we fund the apprenticeship system and all data will aggregate appropriately whether looking at provider level, subject or learner characteristics within the cohort for that year.

The COVID-19 pandemic disrupted learning, leading to more learners taking extended breaks in the 2019/20 academic year. The method to identify new starts was changed for 2020/21 to take this disruption into account. Learners who returned in 2020/21 after extended breaks were counted as continuing, rather than new starts.

For all other years, learners who take extended breaks and return to a programme in a different academic year are counted as a new start. 

Apprenticeship Achievements

A count of successfully completed apprenticeships. Learners can complete more than one apprenticeship and may be counted more than once. This measure is therefore a count of all apprenticeship achievements, rather than a count of individual learners achieving an apprenticeship.

Apprenticeship achievements are recorded when a learner reaches the end point of their assessment, rather than at the end of learning. 

Apprenticeship Enrolments

A count of apprenticeship enrolments.

Apprentices are counted for each apprenticeship they are enrolled on and may be counted more than once. 

This measure is therefore a count of all apprenticeships, rather than a count of individual apprentices.

Apprenticeship expected durationThe expected duration of an apprenticeship measured in days, calculated as the difference between the start date and planned end date of the apprenticeship.

Apprenticeship rates per 100,000 population

Rates per 100,000 population are calculated for starts, participation and achievements in apprenticeships. 

The latest available Office of National Statistics (ONS) estimates for the population aged 16 to 64 (small area based by single year of age for England) is used for the denominator. 

Other Apprenticeship measures (source: Apprenticeship Service, Find An Apprenticeship Service)

Refer to the ‘Funding’ section of the methodology for more information on the apprenticeship service.

MeasureCalculation
Apprenticeship adverts

A count of the number of adverts for apprenticeship vacancies in a calendar month, recorded on the Find An Apprenticeship (FAA) Service. 

Since an advert may be open across more than one month it may be counted more than once.

Not all adverts are placed through FAA, therefore this measure represents a subset of the total number of adverts.

Apprenticeship vacancies

A count of the number of apprenticeship vacancies in a calendar month, recorded on the Find An Apprenticeship Service. 

Since a vacancy may be open across more than one month it may be counted more than once.

Not all vacancies are advertised through FAA, therefore this measure represents a subset of the total number of vacancies.

Apprenticeship redundanciesA count of the number of apprenticeships which ended due to redundancy, recorded on the Apprenticeship Service.
Apprenticeship service commitmentsA count of the number of commitments for levy and non-levy paying organisations, recorded on the Apprenticeship Service. A commitment is a potential apprentice, who is expected to go on to start an apprenticeship programme and is recorded on the Apprenticeship Service.
Apprenticeship reservationsA count of the number of apprenticeship funding reservations, recorded on the Apprenticeship Service. A reservation for funding must be made before an apprenticeship starts.

Traineeships (source: Individualised learner Record)

The standalone traineeship programme ended on 31 July 2023 and was integrated back into the Study Programme and Adult Education Budget from August 2023. Final completion and conversion data on traineeships were published in November 2024.

MeasureCalculation
Traineeship startsA count of the number of traineeship starts.
Traineeship completionsA count of the number of traineeships that were completed.
Traineeship completion rate

The percentage of traineeships that were completed.

The traineeship completion rate is calculated as the number of traineeships completed divided by the number of traineeships starts (multiplied by 100).

Traineeship conversionsA count of the number of apprenticeships which begin within a year of a traineeship start.
Traineeship conversion rate

The percentage of apprenticeships which begin within a year of a traineeship start.

The traineeship conversion rate is calculated as the number of apprenticeships which begin within a year of a traineeship start divided by total number of traineeships starts (multiplied by 100).

Note: only the first apprenticeship start that occurs within a year of the traineeship start is included in this calculation

[1] Figures for the publications in January, March and July are provisional and cover the year to date: the first publication in January covers three months from 1 August to 31 October; the publication in March covers the six months from 1 August to 31 January; and July the nine months from 1 January to 30 April. The publication in November reports final figures for the full FE academic year (1 August to 31 July).

10. Methodology changes and data continuity

This section summarises changes to data collections, calculation methods and other factors which have had an impact on the FE statistics we publish and how this affects their comparability over time. Annex 2 provides information on FE policy developments which, to some extent, help to explain these changes.

Apprenticeships

Sector subject area update 

In the January 2026 publication the apprenticeship sector subject areas have been updated based on recent updates to apprenticeship Sector Subject Area (SSA) codes (opens in new tab). The SSA codes for 139 apprenticeship standards have changed. Sector subject areas for past years have been recast to provide a consistent back-series for comparison. This affects apprenticeship sector subject areas and also Further education and skills sector subject areas (that includes apprenticeships in the overall FE and skills numbers). 

Changes to published data for the 2024/25 academic year

Although there have been no changes to how apprenticeships data is calculated for 2024/25 academic year, there are two changes to the data we publish. From 2024/25, we have ceased publication of the public sector apprenticeship statistics and will no longer publish monthly updates on apprenticeship starts.

The statutory target for public sector apprenticeships ended on 31 March 2022, however we continued to collect and publish this data. Given the burden placed on public sector organisations to submit their employee and apprenticeship data to the department, we sought feedback from providers to establish the relevance of these statistics going forwards. Feedback confirmed that there would be no detrimental effect from ending the collecting and reporting of public sector apprenticeships data. The department has therefore ceased collection and publication of this data from 2024-25. The final release of public sector apprenticeship statistics in this series was published in November 2024.

As the result of a review of the use and frequency of our statistics releases, we have ceased publication of monthly updates on apprenticeship starts. However, information on apprenticeship starts by month continues to be included within the underlying data of the quarterly publications.

Apprenticeships during the COVID-19 pandemic

COVID-19 restrictions led to a fall in the number of apprenticeship vacancies being advertised, some employer failure and redundancies, which in turn led to a fall in the number of apprenticeship starts. In particular, the months from March to October 2020 saw a substantial reduction in the number of starts. As a result, the 320,000 apprenticeship starts seen in both 2019/20 and 2020/21 was some 70,000 below the level seen in 2018/19. However, as the impact of COVID-19 receded the number of starts recovered and by 2021/22 stood at 349,000.

The COVID-19 pandemic disrupted learning, leading to some learners taking extended breaks. We therefore changed the method used to identify new starts for the 2020/21 academic year, to take this disruption to learning into account: learners who returned in 2020/21 after extended breaks were counted as continuing, rather than as new starts. This method was applied in 2020/21 only and for all other years learners who take extended breaks and return to a programme in a different academic year are counted as a new start.

COVID-19 related restrictions delayed the completion and awarding of some apprenticeships, therefore care should be taken when comparing achievements between years during the covid-affected period. The overall number of apprenticeship achievements decreased noticeably in 2021/22, falling to a recent low of 137,000. This is explained mainly by the impact of COVID-19 and, to some extent, lower start numbers since the introduction of the apprenticeship levy, along with a general move towards courses of longer duration. As the impact of COVID-19 receded the number of apprenticeship achievements began to recover however, with over 162,000 recorded a year later in 2022/23.

Starts supported by Apprenticeship Service Account (ASA) levy funds 

In the January 2020 Apprenticeships publication, the ‘Levy-supported starts’ measure was renamed as ‘Starts supported by ASA levy funds’, to better describe what we are counting. We also changed the method for calculating these starts:

Prior to January 2020, the number of levy-supported starts was based on a match between Individualised Learner Record (ILR) starts data to information in an organisation’s ASA – this was known as the ‘data lock’ and is essential for payment of levy funds.

However, this data match was not always timely, particularly during the early part of the academic year and led to an undercount of starts supported by the ASA levy. To improve the accuracy of the count for in-year starts we introduced an alternative method, which made use of a new ILR field that recorded the contract type an apprentice is funded through.

The change to the method for calculating starts supported by the ASA levy, means that data from 2019/20 onwards is not directly comparable with earlier years. A revised time series was made available for final end-of-year data, but not for provisional in-year data.

From 9 January 2020 the apprenticeship service was extended to all non-levy paying employers to register and use. The new ILR field was updated to include both levied and non-levied starts, which means a small number of non-levied starts are now included in the ‘Starts supported by ASA levy funds’ measure. This change affects data from the 2020/21 academic year onwards and although it makes only a small difference to overall start numbers, it should be taken into consideration when making comparisons between years.

The majority of the apprenticeship programme is now funded through the apprenticeship levy, although an organisation can choose to fund apprenticeships themselves. 

Calculation of achievements on apprenticeship standards

A new method for calculating the date of achievement for apprenticeship standards, based on the ILR end point assessment (EPA) field, was introduced in January 2020. 

Under the previous method, the leave month/year when the learning had been successfully completed and achieved was used as the learner’s achievement date. The completion and achievement dates were typically the same date in this case. 

However, this is not true for the EPA and leave dates, with the EPA potentially being on a different date to the leave date; for example, a learner may have completed their learning in the 2018/19 academic year (and left the programme), but their EPA may have been in the following academic year (2019/20).

Achievement rates from 2019/20 onwards are therefore not directly comparable to earlier years.

Motor vehicle service and maintenance technician (light vehicle) apprenticeship standard sector subject area change

In 2019, the Institute for Apprenticeships reclassified the Motor Vehicle Service and Maintenance Technician (light vehicle) apprenticeship standard from the Retail and Commercial Enterprise sector subject area tier 1 to Engineering and Manufacturing Technologies. The new sector subject area tier 2 for the standard is Transportation Operations and Management. All data published from March 2019 containing sector subject area fields have been updated to reflect this change, including historical data.

Apprenticeships expected duration

Apprenticeship expected duration is the expected time (in days) required to complete a standard or framework. Two changes were introduced to the method for calculating the expected duration in November 2018.

Before November 2018, the duration calculation was based on the learning start date and either the actual end date or planned end date: in cases where the actual end date was not available, the planned end date of the apprenticeship (recorded in the ILR) was used instead.

Using this method, the actual end date was used if the apprenticeship completion status was recorded as ‘completed’ and the planned end date was used for other reasons: withdrawn, planned break, transferred and continuing. From the November 2018 release onwards, the methodology was changed so that only the planned end date is used in the calculation of apprenticeship durations. 

In addition, we excluded from the calculation those learners who were returning to their apprenticeship after a break. Since these learners have prior attainment, it is expected that the duration of their apprenticeship on returning will be shorter compared to new starters. Including returning learners was therefore likely to reduce the average expected duration of apprenticeships. Returning learners are identified as those that have an original start date which is different to their learning start date; indicating they restarted their programme after a break.

As a result of these changes expected durations from November 2017/18 onwards are not directly comparable to earlier years. For example, expected duration for apprentices (excluding re-starters) was 581 days for the 2017/18 academic year compared to 551 days using the previous method.

Planned length of stay

Minimum durations were put in place for framework-based apprenticeships from August 2012. For learners aged 16 to 18 apprenticeships had to last at least 12 months. For learners aged 19 and over there was more flexibility, as some adults have prior learning/attainment and can therefore complete training more quickly. For example, if the training provider could provide evidence of prior learning the minimum duration was reduced to 6 months. For new apprenticeship standards the minimum duration is 12 months. These differences should be considered when comparing planned length of stay data between years.

From 2015/16, the methodology to calculate planned length of stay was revised to include those learners whose start date was the same as their planned end date. In 2014/15 this would have meant 100 learners included in the total for ’12 months or more’ would also have been included in total for ‘fewer than 12 months’. As this methodology change affected a relatively small number of learners, figures for previous years were not revised.

Employer Ownership Pilot collection

The Employer Ownership Pilot (EOP) offered employers in England direct access to public investment over the period of the pilot (2012 to 2016) to design and deliver their own training solutions.

The 2014/15 EOP collection was affected by the move to an improved collection system between provisional and final return dates. Although this move helped to put the final 2015/16 collection on a better footing, there were notable differences between provisional and final 2014/15 data. Rather than extend the considerable work with providers to reconcile these differences DfE took the decision to continue to use the provisional data, as it was almost complete and passed full quality assurance.

Furthermore, the impact on final figures was negligible as EOP numbers were relatively very small when compared to overall apprenticeship starts: in 2014/15, 1,500 apprenticeship starts out of a total of 499,900 were EOP and in 2015/16 this was 1,000 out of 509,400. The EOP was withdrawn in 2015/16.

Apprenticeship service measures

Commitments

Commitments show an intent for an apprentice to start.

A commitment is a potential apprentice, who is expected to go on to start an apprenticeship programme and is recorded on the apprenticeship service. Fully agreed commitments have agreement between the employing organisation and the training provider setting out how they will support the successful achievement of an apprenticeship. Otherwise, the commitment has a status of ‘pending approval’. 

Levy-paying organisations have used the apprenticeship service since its introduction in May 2017. This is not the case for non-levy-paying organisations meaning the interpretation of the trends for total commitments and those of non-levy-paying organisations should be treated with some caution.

  • Prior to January 2020 only non-levy organisations could set up apprenticeship service accounts and have commitments in order to utilise levy transfers, while a limited number of non-levy organisations registered accounts as part of testing in preparation for the extension of the service to all employers.
  • On 9 January 2020, the Apprenticeship service was extended so that all employers that do not pay the levy could register and reserve funds. 
  • Since 1 April 2021, all new apprenticeship starts at both levy-paying and non-levy paying organisations were via the apprenticeship service.

Commitments may be recorded or revised on the Apprenticeship Service system after the training start date has passed. This means all commitments data should be treated as provisional and may be subject to further revision as more commitments are recorded on the apprenticeship service system. Data for previous academic years may also be revised as details are updated by employers. The data is only fully captured when providers confirm details in the Individualised Learner Record (ILR). In the interests of transparency, what is known at the point of reporting has been included where possible.

Transferred commitments

Transferred commitments are commitments where the transfer of apprenticeship levy funds from the account of a levy-paying organisation to another apprenticeship service account has taken place. 

As outlined in the funding section, the proportion of funds which can be transferred between accounts has changed since they were introduced in 2018. From April 2018 organisations could transfer up to 10% of the annual value of funds entering their apprenticeship service account. This limit was increased to 25% in April 2019 and in April 2024 it increased again, to 50%. These changes should be considered when interpreting changes to the number of transferred commitments over time. 

Transferred commitments where a corresponding apprenticeship start has been recorded on the ILR are identified by matching the Commitment ID between the Apprenticeship service record and the corresponding ILR record. 

However, providers may not record learners immediately on the ILR, so a lag may occur between a commitment being recorded in the apprenticeship service and the corresponding commitment being recorded as a start on the ILR.

Additionally, as commitments can be recorded or amended on the apprenticeship service system after the transfer approval date has passed, all data should be treated as provisional. Data is only fully captured when providers confirm the details in the ILR. 

Apprenticeship service reservations

Levy-paying training providers can make reservations on behalf of non-levy paying organisations. Additionally, providers with reservations that have progressed to a ‘commitment’ (with a training provider assigned) are counted as supporting.

As outlined in the funding section, this reservation is in advance of recruitment or an offer of an apprenticeship being made to an existing employee. The reservation ensures that employers can plan training and that funds will be available to pay for the training from the point the apprenticeship starts. This allows non-levy paying employers to access the benefits of the system and reserve funds to support their training.

It should be noted:

  • until autumn 2020 employers who did not pay the apprenticeship levy were able to access apprenticeship training either through a provider with an existing Government contract or via the apprenticeship service. From April 2021, all new apprenticeship starts are managed through the apprenticeship service. This means comparisons of reservations before and after these periods should be treated with caution.
  • If the reservation expires before the apprentice starts, a new reservation has to be made. 

Further Education and Skills

Treatment of component aims (September 2025)

The underlying files listed below were adjusted to correct the level assigned to some aims in the Learning Aim Reference Service, which we use as a source.  This affected the academic years 2022/23 and 2023/24, and the provision type “Education and Training”.  

The main impact could be seen at level 3 where the learner participation figure for 2022/23 was revised upwards from 121,330 to 140,790.  For 2023/24 the level 3 figure was revised upwards from 120,580 to 142,450.  For learner achievements, the 2022/23 level 3 figure was revised from 76,220 to 86,950 and for 2023/24 from 74,630 to 88,950.
 

The following files were corrected :
Deprivation - Participation by Age, Learner Home Deprivation, Provision Type
Headline - Full year - Participation, Achievement by Provision type
Headline - In year - Participation, Achievement by Provision type
Learner characteristics - Participation, Achievement by Age, LLDD, Primary LLDD, Ethnicity, Provision Type
Learner characteristics - Participation, Achievement by Age, Sex, Detailed Ethnicity, LLDD, Provision Type
Provider - Education and Training Participation by Provider Name, UKPRN, Level
Geography Region, LA, LAD, PCON - Participation, Achievement (volumes and indicative rates per 100,000 population)
Underlying charts data - full year

Changes introduced for 2024/25

A number of significant changes have been introduced for the 2024/25 academic year which affect how FE and skills data is defined and reported. Information on these changes is provided in section 2 of this methodology.

Changes made to final 2023/24 data

The following two changes were included in final 2023/24 data published in November 2024 and will continue to be used going forwards.

GCSE enrolments and achievements for education and training data (November 2024)

All GCSEs are counted as level 2 enrolments, but only passes at grades 4 to 9 (or A* to C) are counted as level 2 achievements. Grades 1 to 3 (or D to G) and unclassified are counted as level 1 achievements. This method of counting GCSE enrolments and achievements was introduced for final 2023/24 education and training and will be used for all future publications. Previously, a GCSE pass at any grade (1 to 9 or A* to G) was counted as a level 2 achievement.

Time series data published from November 2024 onwards is based on the new method.

Update to English and Digital Essential Skills (November 2024)

During development work, in preparation for introducing the changes to FE data for the 2024/25 academic year, we identified several non-regulated aims which were flagged as English essential skills, but according to their learning aim titles and descriptions should instead have been flagged as digital  skills.

We corrected this error for final 2023/24 data and also provided a revised timeseries. The table below shows revised adult (aged 19+) essential skills participation in English and digital skills and the data without the revision. 

 Year

English (old count

English (revised)

% difference

Digital Skills (old count)

Digital Skills (revised)

% difference

2020/21

243,640

243,640

-

5,150

5,150

-

2021/22

239,160

235,010

-1.7

17,590

21,870

+24.3

2022/23

222,990

218,080

-2.2

17,510

22,220

+26.9

2023/24

203,680

195,940

-3.8

15,760

24,120

+53.0

Source: ILR (SN14)

Note: the revised aims first became available to learners in the 2021/22 academic year, therefore figures for 2020/21 are not affected.

Since participation in digital skills is relatively low compared to English, the revision has led to a substantial percentage increase in digital skills participation compared to the old count. By contrast English participation has seen a modest fall.

Going forward we will use the revised version of the data as the headline measures for English and digital essential skills. A full list of the revised qualifications is provided in annex 5 ‘Learning aims now counted as Digital Skills’; these are the qualifications which are now counted as digital skills, but were previously counted as English. 

Further Education and Skills during the COVID-19 pandemic

The period affected by the COVID-19 pandemic (particularly March 2020 to March 2022) and the associated restrictions, impacted FE provision and provider reporting behaviour via the ILR. Extra care should be taken when comparing between academic years and interpreting data for this period. For example, the overall number of achievements reported in 2019/20, 2020/21 and 2021/22 was lower compared to the years immediately before and after, in part due to disruption to exams and assessments, and breaks in learning during the pandemic.

Full level 2 and Full level 3 methodology in 2016/17

In 2017, the EFSA reviewed the classification of level 2 and 3 qualifications for the 19-23 funding entitlement, based on the recommendations in the Wolf Review of Vocational Qualifications.

The review led to some full level 2 and full level 3 qualifications being reclassified as level 2 and level 3, respectively.

As a result of these changes the number of learning aims (qualifications) designated as full level 2 and level 3 decreased substantially in 2016/17. For example, between August 2016 and April 2017, 138,100 learners were reclassified to level 2 from full level 2 and 2,800 learners were reclassified to level 3 from full level 3

The revised methodology aligned FE statistics more closely with the 16 to 19 Performance Tables in terms of the qualifications included.

A full level 3 qualification is equivalent to 2 or more A levels and a full level 2 qualification 5 GCSEs or more at grade 9 to 4 ( A* to C).

ILR Data

Introduction of the single ILR

In the 2011/12 academic year, a Single ILR (SILR) data collection system was introduced. This replaced the multiple separate data collections used in previous years and introduced small technical changes in the way learners from more than one funding stream are counted.

Overall, the new collection system led to a removal of duplicate learners and accounted for an approximate 2% reduction in total learner participation in 2011/12 compared to a year earlier. Apprenticeship participation figures were more significantly affected however, since each apprenticeship is counted, rather than individual learners. For example, where a learner participates on more than one apprenticeship programme, each is counted. The removal of duplicated learners accounted for an approximate 5% reduction in the number of apprenticeships. FE participation figures from 2011/12 onwards therefore are not directly comparable to earlier years.

Detailed information on the ILR (opens in new tab) collection is published by DfE.

Using in-year ILR data

Updates of FE statistics throughout the year provide users with the latest data and help the department make timely assessments on the effectiveness of its policies. 

However, it should be noted that in-year data for updates is taken from an operational information system, the ILR, that is primarily designed to support the funding of FE providers. As a result, there are some limitations to in-year data, which users should take into consideration:

In-year data is subject to data lags, as providers may update learner records throughout the year as new information becomes available. The size of revisions to estimates that arise from data lag can vary greatly. They tend to be around 2 to 3 per cent but can be as much as 20 per cent. Revisions are typically upward though it should be noted that downward revisions are possible.

Data lag from one year to the next is not predictable, as provider behaviour changes over time and there is no source of information that would enable the calculation of a robust estimate on the completeness of the data that has been returned. 

However, we do undertake a quality assessment of the data providers have returned. If we consider estimates to be particularly weak, due to data lag or any other factor, we may defer publication of data. In addition we encourage providers to submit timely data returns throughout the year, ahead of the final collection in October.

The publication of statistics each November for the full academic year (August to July) provides a complete account of FE participation and achievement. We therefore recommend users reference this final version of the data, when making comparisons between years.

More information on data lag is provided under ‘Timeliness and Punctuality’ within the of the Quality section of methodology.

Geographical breakdowns

Local authorities

Reorganisation of local authorities means that it is not always possible to make direct comparisons for local areas between years.

Recent reorganisations include:

  • On 1 April 2019 the three unitary authorities of Dorset, Bournemouth and Poole were reorganised into two new authorities; Dorset and Bournemouth, Christchurch & Poole.
  • On 1 April 2020 Wycombe, South Bucks, Chiltern and Aylesbury Vale district councils and Buckinghamshire County Council were replaced by Buckinghamshire Council unitary authority.
  • On 1 April 2021 Northamptonshire was reorganised into two new unitary authorities, North Northamptonshire and West Northamptonshire.
  • On 1 April 2023 Cumbria was reorganised into two new unitary authorities, Cumberland and West Morland and Furness.
  • On 1 April 2023 Craven, Carlton, Hambleton, Harrogate, Richmond, Scarborough and Selby district councils were replaced by North Yorkshire Council.

Local Enterprise Partnerships

The geographical areas covered by Local Enterprise Partnerships (LEPs) can overlap, meaning some areas fall under two LEPs. Prior to the January 2023 statistics publication, LEPs were reported based solely on the primary LEP code of the learner. Since January 2023, we have identified LEPs using both primary and secondary LEP codes. This means that learning taking place in areas covered by two overlapping LEPs is now reported against both the LEPs rather than just the LEP derived from the primary code. We have applied this new method to the historic LEP data included in this publication and updated the time series. 

Provider Type

In November 2025, following user feedback, we re-aligned the categories used in our provider type breakdowns.  

  • A new category for local authorities has been introduced.  
  • What remains in the “Other” category will include HE, NHS Trusts, Military, Govt departments, and other public bodies.

A more detailed breakdown, including individual providers, can be found in our supporting files. 

Footnotes

In addition to the information provided here, footnotes are provided for each data file we produce and are listed within the Apprenticeships and FE and Skills data guidance sections. The footnotes explain key features of the statistics to users and highlight any limitations and considerations regarding the data. Each chart and table within the publications on Explore Education Statistics is accompanied by the associated footnotes.

11. National statistics and data confidentiality

National Statistics 

These accredited official statistics have been independently reviewed by the Office for Statistics Regulation (opens in new tab). They comply with the standards of trustworthiness, quality and value in the Code of Practice for Statistics (opens in new tab). Accredited official statistics are called National Statistics in the Statistics and Registration Service Act 2007 (opens in new tab).

Accreditation signifies their compliance with the authority's Code of Practice for Statistics (opens in new tab) which broadly means these statistics are:

  • managed impartially and objectively in the public interest
  • meet identified user needs
  • produced according to sound methods
  • well explained and readily accessible

Our statistical practice is regulated by the Office for Statistics Regulation (OSR). OSR sets the standards of trustworthiness, quality and value in the Code of Practice for Statistics (opens in new tab) that all producers of official statistics should adhere to.

You are welcome to contact us directly with any comments about how we meet these standards. Alternatively, you can contact OSR by emailing regulation@statistics.gov.uk or via the OSR website (opens in new tab).

These statistics were designated as national statistics by the UKSA (opens in new tab) in January 2012.

The continued accreditation of these statistics as National Statistics was confirmed in October 2019 following a compliance check by the Office for Statistics Regulation (opens in new tab)

We have continued to comply with the Code of Practice for Statistics and have made the following recent improvements:

  • included information on data quality issues surrounding in-year data and ensured these issues are now clearly caveated.
  • improved the commentary and introduced necessary caveats to aid interpretation and explain variability between years. 
  • made a number of changes to the publication structure and timings from January 2018, which were outlined in the Proposed changes to further education, skills and apprenticeship statistics (opens in new tab) annex, in November 2017. 
  • responded to user needs by developing more data tools (including power bi dashboards) , with the view to improving the availability and accessibility of data and introducing a table finder to help users navigate the tools in the further education data library.

These changes, particularly those implemented from the 2017/18 academic year, were informed by user feedback, an internal review of further education statistics and an assessment of departmental priorities, with a view to improving consistency across our statistical publications. This included the move publishing FE statistics on the department’s Explore Education Statistics (EES) platform in 2020. 

EES gives users a more interactive experience compared to previous publication formats, with the table builder tool in particular allowing users to explore the underlying data. We also adopt best practice by presenting data in tables in accordance with Government Analysis Function Data visualisation (opens in new tab) guidance. 

In addition, the OFFICIALSTATISTICS@education.gov.uk mailbox has been introduced as a point of contact for user engagement and feedback. 

Pre-release access to statistics

Pre-release access is the process by which ministers and officials are granted access to official statistics 24 hours before their publication, in accordance with the Pre-release Access (opens in new tab) to Official Statistics Order 2008. The purpose of pre-release access is to enable the department to make a public response at, or shortly after, the time of publication, or take any necessary action at that time. The number of people granted pre-release access is reviewed regularly and kept to a minimum.

A list of ministers and officials who have received pre-release access to the Further Education and Skills and Apprenticeships and Traineeships statistics publications is provided under the ‘Related information’ section of the main publication pages.

Confidentiality and Rounding

The Code of Practice (opens in new tab) for Official Statistics requires us to take reasonable steps to ensure that our published or disseminated statistics protect confidentiality. We also assess our statistics with reference to the National Statistician’s Privacy and data confidentiality methods (opens in new tab) and data protection (opens in new tab) guidance from the Information Commissioner’s Office (ICO).

DescriptionAction
We round figures

Numbers are rounded to the nearest 10.

Percentages are calculated from raw data and rounded to one decimal place.

We suppress some figures

Values of 0, 1, 2, 3 and 4 are suppressed and shown as ‘low’.

Percentages based on values of 0, 1, 2, 3 and 4 (in either the numerator or denominator) are suppressed and shown as  ‘low’.

In addition, percentages with a value of less than 0.5 are suppressed and shown as ‘low’.

We use symbols and shorthand to identify suppression and provide information on the data

The following symbols are used for suppression :

‘low’ indicates suppression has been applied to protect confidentiality.

‘z’ indicates data is not applicable.

‘x’ indicates data is not available.

The symbols used are in accordance with the latest Government Analysis Function Using symbols and shorthand (opens in new tab) guidance.

The DfE publishes other statistics related to FE in England on Explore Education Statistics:

16 to 18 destinations and attainment, including performance tables:

Unit for Future Skills

  • Job and skills data: (opens in new tab) Data and research to help understand current and emerging skills gaps and the type of jobs people take after training. Developed by the Unit for Future Skills, an analytical and research unit within DfE. 

FE in the rest of the UK

Note: care should be taken when comparing data between publications, due differences in how the data is collected and measures are calculated.

The Higher Education Statistics Agency (HESA) 

Historical data which is no longer updated

  • FE choices: (opens in new tab) A joint DfE and ESFA publication which provided comparable information to help learners and employers make informed choices about education and training. The final update was in October 2019.
  • Further Education for Benefit Claimants (opens in new tab): The Department for Work and Pensions and the former Department for Business, Innovation and Skills (BIS) set up an analytical project in 2009 to develop a matched database of records on training and benefits. The matched data provided a better understanding of what training is delivered to benefit claimants, and helped BIS and DWP assess how effective training was in helping learners off benefits. The final update was in June 2019.

13. Historic FE provision and statistics

The FE and skills publication formerly included statistics on other FE learning and government programmes which are no longer relevant to the releases or have been discontinued, including:

  • Workplace Learning: this data covered a broad range of training including basic skills, level 2, level 3 and higher-level skills. Workplace Learning was mainly delivered through the workplace and did not include apprenticeships, which are classified as a separate programme. Workplace learning was included in FE and Skills statistics for the last time in November 2017.
  • Apprenticeship Grant for Employers (AGE 16 to 24) scheme: AGE 16 to 24 was designed to encourage small and medium-sized employers in the UK to hire new apprentices aged 16 to 24. The scheme provided apprenticeship grants with a value of £1,500 to employers with up to 1,000 employees, to take on new apprentices aged 16 to 24. Eligible employers must not have had taken on an apprentice in the previous 12 months. Subject to budget availability and the employer’s commitment to support the apprentice to the end of their programme, any one employer could claim support for up to ten apprentices. The AGE 16 to 24 scheme ended on 31 July 2017.
  • Access to Apprenticeships pathway: participants used elements of an apprenticeship framework to brush up skills and workplace experience, with the aim of securing a paid apprenticeship with an employer as quickly as possible, within six months. Participants were not categorised or counted as an apprentice until they became employed. This access pathway was announced in May 2011 and was closed to new starts at the end of December 2013. 
  • Employer Ownership Pilot (EOP): offered all employers in England direct access to up to £340 million of public investment over the period of the pilot (up to 2015/16) to design and deliver their own training solutions. Data for learners undertaking learning as part of the EOP was collected in separate data collections to ILR learners. Data on the Employer Ownership Pilot was included in the FE and Skills statistics for the last time in November 2017.
  • Large Employer Outcome Pilot (LEOP): the LEOP dataset collected information on learners funded through this pilot scheme and included learners employed by 23 employers that were part of the scheme. LEOP learning was undertaken under the auspices of employers, where the employers were effectively learning providers and treated as such in the reported statistics. Data on LEOP was included in the FE and Skills statistics for the last time in November 2017.
  • Offender learning: aims to ensure offenders have the skills that will enable them to gain worthwhile, sustainable employment and in-so-doing reduce the likelihood of re-offending. The Offender Learning and Skills Service (OLASS) funded a wide range of learning aims for adults (aged 18 and over) in custody in prisons in England, including awards and units, with a focus on addressing English and maths at the start of a sentence and vocational skills in the run-up to release. OLASS was replaced by governor-led education commissioning in April 2019.

Offender learning was reported separately in the FE and skills statistics for the last time in November 2017, as both budget and delivery transferred to the Ministry of Justice from 1 October 2017. 

Prison Education and Accredited Programme Statistics (opens in new tab) are published annually by the Ministry of Justice.

The FE and skills statistics formerly included data on certificates awarded for all vocational qualifications and adult qualification levels. This information is no longer reported in the FE statistics, however related data is available:

  1. Data on certificates awarded for all vocational qualifications (excluding GCSEs, AS levels and A levels) is available via Ofqual (opens in new tab).
  2. The level of highest qualification held by economically active adults in the population (based on the Labour Force Survey) is available via Nomis (opens in new tab), a service provided by the Office for National Statistics which gives users access to UK labour market statistics. 

Note: Nomis statistics are not directly comparable to the previously published FE and skills data due to differences in methodology. The previously published FE and skills data used an ONS-agreed methodology to enhance raw Labour Force Survey data by reference to educational administrative data; this corrected for known underreporting on qualification levels.

Changes to FE statistics were previously announced by DfE in:

and

Annexes

1. Glossary of key terms

MeasureDescription
Academic yearThe further education academic year runs from 1 August to 31 July.
AchievementThe number of learners who successfully complete the programme. Date recorded as date of end-point assessment.
Achievement rateAchievement rates are based on the individual qualification aims that were completed in the relevant year (Hybrid End Year). They are calculated as the number of aims achieved divided by the number started, excluding the aims of any learners that transferred onto another qualification within the same institution
Aim enrolmentsAim enrolments is a count of enrolments at aim level (including component aims) for each academic year.  Learners will be counted for each aim they are studying and so can be counted more than once.
Apprenticeship frameworkOld style apprenticeships that were phased out and replaced by standards by the start of the 2020/21 academic year.
Apprenticeship levyThe UK wide apprenticeship levy that came into force on 6 April 2017 requiring all UK public and private sector employers with an annual pay bill of £3 million or more to invest in apprenticeship training.
Apprenticeship serviceAn online service implemented in May 2017 that allows employers to manage their apprenticeships and pay for apprenticeship training more easily.
Apprenticeship standardNew, high quality employer-designed apprenticeships that had replaced frameworks by the start of the 2020/21 academic year.
Ethnic minorities (excluding white minorities)These consist of learners declaring themselves in the Asian/Asian British, Black/African/Caribbean/Black British, Mixed/Multiple Ethnic Groups, and Other Ethnic Groups.
CommitmentA commitment is where a potential apprentice, who is expected to go on to start an apprenticeship has been recorded on the apprenticeship service. Fully agreed commitments have agreement between both the employing organisation and the training provider, otherwise the commitment is pending approval. Commitments show an intent for an apprentice to start.
Expected durationThe time period for which the learner is expected to complete the learning related to a particular learning aim, based on the learning aim start date and expected learning end date, as recorded on the programme record in the Individualised Learner Record (ILR).
Foundation apprenticeshipFoundation apprenticeships are level 2 apprenticeships available for young people looking for a broad grounding in an entry level occupation, leading to opportunities for progression to a more specific or higher-level apprenticeship. They were first introduced for the 2025/26 academic year.
Full level 2Equivalent to a National Vocational Qualification at Level 2, or 5 GCSEs. The widths of all a learner’s Level 2 aims are summed to establish whether a learner is taking a Full Level 2 programme.
Full level 3Equivalent to a National Vocational Qualification at Level 3, or 2 A-Levels. The widths of all a learner’s Level 3 aims are summed to establish whether a learner is taking a Full Level 3 programme.
Further Education and Skills

Learners who are studying a course in a FE college, training provider or within their local community and employees undertaking an apprenticeship or other qualification in the workplace. 

The FE and skills and apprenticeship publications generally cover adult (19+) FE and all age apprenticeships. 

LLDDLearners with Learning Difficulty or Disabilities. This data is self-reported for the ILR. 
Length of employmentLength of time that an apprentice reports as being with their employer prior to starting their apprenticeship programme, recorded from 2013/14 onwards.
ParticipationThe number of people who have attended one day or more on a learning aim in the given academic year. A learner studying more than one aim at the same provider at the same level is counted once in the line showing that level in tables.  If studying at another level, they will also appear in that level, but a total count of learner participation will only count learners the once where studying at the same provider.
Pass ratePass rates are based on the individual aims that were successfully completed in the relevant year (the Hybrid End Year). They are calculated as the number of learning aims achieved divided by the number successfully completed.
Public Sector ApprenticeshipApprenticeships where the employer is a public sector body who self-reports their progress towards the public sector target. It did not include learners in the public sector who belonged to bodies below the threshold for reporting. The public sector apprenticeships target ended on 31 March 2022.
Retention rateRetention rates are based on the individual aims that were successfully completed in the relevant year (the Hybrid End Year). They are calculated as the number of learning aims completed divided by the number of leavers.
Short typical duration apprenticeshipsFor new starts from 1 August 2025, the minimum duration of an apprenticeship has reduced from 12 to 8 months. This means any apprenticeship can be completed in fewer than 12 months, for example with accredited prior learning. Some apprenticeships now have a typical duration of either 8 or 9 months for apprentices to complete their apprenticeship. 
StartsThe number of apprenticeship programmes that begin in a given academic year, showing the take-up of programmes. An apprentice is counted for each apprenticeship they start in a given academic year.
Starts supported by Apprenticeship Service Account (ASA) levy fundsThese were formerly referred to as ‘levy supported starts’ (see the methodology changes section below). An apprenticeship start that is either partially or completely supported by Apprenticeship Service Account levy funds. Levy funds are calculated by HMRC based on returns made by the employer. Employers register with Apprenticeship Service to drawn down funds they have accumulated to pay for apprenticeship training
STEMScience, Technology, Engineering & Maths. Figures include learners in the 1) Construction, Planning and the Built Environment, 2) Engineering and Manufacturing Technologies, 3) Information and Communication Technologies and 4) Science and Mathematics sector subject areas.
TransferThe transfer of apprenticeship levy funds from the account of a levy-paying organisation to another apprenticeship service account. Since 22 April 2024, large employers that pay the apprenticeship levy can choose to transfer up to 50% of their levy funds each year to other businesses, to help pay for their apprenticeship training and assessment. The transfer limit was 25% between 1 April 2019 and 21 April 2024 and 10% between April 2018 and March 2019 (when the levy was first introduced).

2. Key historic policy changes

Further education (FE) coves a broad and diverse area, which has seen changes to funding, policy and content over the last two decades. Users of FE statistics may therefore find the following summary of some of the key changes helpful when evaluating FE statistics.

Information on the most recent changes to FE data is provided in section 2 of this methodology, ‘Changes to Further Education in 2024/25’.

2008/09: Demand-led funding

The ‘Leitch Review of Skills (opens in new tab)’ published in 2006 recommended a move away from delivering skills via a ‘supply driven’ approach based on central government planning, towards a more ‘demand-led’ system of funding for vocational education and training within the FE sector, with employers being directly involved in deciding what the training and skills priorities should be.

Following this, in 2008/09, the then Learning and Skills Council implemented a new demand-led funding methodology resulting in extensive changes for the data collection and funding arrangement for the ILR. This resulted in changes to the names of the ILR collections, the frequency of collections and the data returned in each collection.

2013/14: 24+ Advanced Learner Loans

  • Advanced Learner Loans provide tuition fee support to adults wishing to train and retrain through higher quality learning programmes with strong labour market outcomes.
  • From 2013/14 to 2015/16, these were known as advanced learning loans and were available for learners aged 24 or older studying full level 3 and level 4 qualifications.
  • From 2016/17, these loans were extended to learners aged 19 or older on the first day of their course and studying at levels 3 to 6 and became known as advanced learner loans.
  • 24+ Advanced Learner Loans were introduced in August 2013 and withdrawn for apprenticeships in March 2014. This appears to have reduced learner numbers for courses at level 3 and above and apprenticeships for ages 24 and over in 2013/14. This should be noted when comparing figures for 2013/14 with earlier and later years.

2014/15: Introduction of apprenticeship standards

Following a review and consultation of apprenticeships in England during 2012 and 2013, the government announced reforms to apprenticeships, part of which was the introduction of new employer-led apprenticeship standards in 2014. Since their introduction different types of standards have been made available each year and have now been replaced the older apprenticeship frameworks. Almost all apprenticeships (99%) have been on standards since the 2020/21 academic year.

The apprenticeship reforms focused on improving quality and introduced minimum durations of apprenticeships, with more higher-level standards (levels 6 and 7) becoming available.

2016/17: Adult Education Budget (AEB)

As outlined in the ‘Funding’ section of the methodology, the scope of adult skills funding has changed over the years to reflect different funding settlements. 

The AEB replaced what had previously been three separate funding strands (adult skills, community learning and discretionary learner support) and remained relatively consistent in scope from its introduction in 2016/17 until its final funding year in 2023/24. The AEB covered education and training for adults (aged 19+) from pre-entry to level 3, including community learning, the Prince’s Trust Team Programme and 19-24 Traineeships, but not apprenticeship learning and advanced learner loans. Additional entitlements and flexibilities, were set out in the AEB funding rules.

Update on the AEB:

The adult skills fund (opens in new tab) (ASF) has replaced the Adult Education Budget from the 2024 to 2025 funding year (1 August 2024 to 31 July 2025) onwards. 

2016/17: Apprenticeship reforms

Two key changes to way apprenticeship funding works were introduced and implemented in 2017, these were the apprenticeship levy and the online Apprenticeship Service, as outlined in the ‘Funding’ section above. 

Since 6 April 2017, employers with pay bills of over £3 million a year have had to pay the apprenticeship levy. Levy-payers were then able access their levy funds to spend on apprenticeships via the Apprenticeship Service.

The profile of apprenticeship starts changed significantly in the run up to the introduction of the levy and beyond and this is likely to have impacted on apprenticeship starts and participation as the new approach beds in.

Other aspects of the reforms included ensuring a minimum of 20 per cent off-the-job training as part of the apprenticeship programme.

2017/18: Levy transfers (1)

From April 2018 employers who pay the apprenticeship levy have been able to transfer funds to another organisation within the Apprenticeship Service up to a maximum amount of 10 per cent of their annual funds.

2017/18: Public Sector Apprenticeship Target

Public sector bodies in England with 250 or more staff had a target to employ an average of at least 2.3% of their staff as new apprentice starts over the period 1 April 2017 to 31 March 2021. The target was repeated for the period April 2021 to March 2022, as a single-year stand-alone target. The scope and the target remained the same. 

For further information about the scope of the target, and how it is measured, please see the ‘Public sector apprenticeship target’ section of this methodology and also Meeting the public sector apprenticeship target 2021-22 (opens in new tab).

Update on the Public Sector Apprenticeship Target:

There is no longer a statutory target for public sector apprenticeships. Given the burden placed on public sector organisations to submit their employee and apprenticeship data to the department, we sought feedback from providers to establish the relevance of these statistics going forwards. Their feedback confirmed that there would be no detrimental effect from ending the collecting and reporting of public sector apprenticeships data. The department therefore ceased the collection and publication of this data in 2024-25.

2018/19: Levy transfers (2)

From April 2019 the maximum amount a levy-paying organisation could transfer to another organisation within the Apprenticeship Service was increased to a maximum amount of 25 per cent of their annual funds. 

2019/20: Devolution of the Adult Education Budget

In 2019/20 around half of FE funding was devolved to six Mayoral Combined Authorities (MCA) and the Greater London Authority (GLA). Delivery to remaining areas remained the responsibility of the DfE. The seven active areas in 2019/20 were: Cambridgeshire and Peterborough, Greater Manchester, Liverpool City Region, Tees Valley, West Midlands, West of England and Greater London Authority. 

MCAs/GLA have their own policies and priorities which changed the nature of  FE delivery from previous provision, therefore data from 2019/20 onwards is not directly comparable with previous years. More information on the policies of each of the MCAs/GLA is provided at the following links: 

Cambridgeshire and Peterborough (opens in new tab) 

Greater Manchester (opens in new tab)

Greater London (opens in new tab)

Liverpool City Region (opens in new tab)

Tees Valley (opens in new tab)

West Midlands (opens in new tab)

West of England (opens in new tab)

Update on devolution: 

The Adult Education Budget and its successor (the Adult Skills Fund (ASF)) has continued to be devolved to more areas. As of January 2026 there are 12 areas with mayoral devolution (opens in new tab) in England that have responsibility for ASF funding. There is also Cornwall, the first of the ‘single areas with devolution deals’ to gain responsibility for ASF funding.

  • Greater London Authority, Greater Manchester, Liverpool City Region, Tees Valley, West Midlands, Cambridgeshire and Peterborough, and West of England gained responsibility on 01 August 2019.
  • North of Tyne gained responsibility on 01 August 2020. This continued into its successor area (the North East) upon its creation in 2024.
  • South Yorkshire and West Yorkshire gained responsibility on 01 August 2021
  • York and North Yorkshire, East Midlands, and Cornwall gained responsibility on 01 August 2025

The following areas will gain responsibility for ASF funding from 01 August 2026:

  • Devon and Torbay, Hull and East Yorkshire, Greater Lincolnshire, Lancashire, Surrey, Buckinghamshire, Warwickshire

2019/20: Non-levy payers on the Apprenticeship Service

On 9 January 2020, the Apprenticeship Service was extended to all non-levy paying employers to register and use. Employers who do not pay the apprenticeship levy are able to make a funding reservation (or have a funding reservation made on their behalf). This reservation is in advance of recruitment or an offer of an apprenticeship being made to an existing employee. This reservation ensures that employers can plan, and that funds will be available to pay for the training from the point the apprenticeship starts. It is anticipated that this is new functionality will be utilised further in due course. Since 1 April 2021, all new apprenticeship starts at non-levy paying organisations were via the apprenticeship service.

Reservations were originally set up to fund apprenticeships planned to start within 3 months of the start date detailed within the reservation. On 1 April 2021 this was extended to six months, but reverted back to 3 months on 1 November 2021. If the reservation expires before the apprentice starts, a new reservation will need to be made. New reservations are subject to government funds being available.

Training providers can ‘support’ this by making reservations on behalf of non-levy employers. Additionally, providers with reservations that have progressed to a ‘commitment’ (with a training provider assigned) are counted as supporting.

Prior to 9 January 2020, some non-levy organisations registered accounts on the Apprenticeship Service as part of testing in preparation for the extension of the service to all employers that do not pay the levy.

DfE’s  Apprenticeship funding (opens in new tab) guidance provides more information on how the government funds apprenticeships in England.

2020/21: Level 3 Free Courses for Jobs

Since April 2021, adult learners have been able to access free level 3 qualifications (opens in new tab) (known as Free courses for jobs) if they are aged 19 or over and do not already have a full level 3 qualification or higher (level 3 is equivalent to an advanced technical certificate or diploma, or A levels). Previously, learners aged 24 or over, would have had to pay the course fee for these qualifications, normally through an Advanced Learner Loan.

From April 2022, the offer was extended to adults in England who are earning under the National Living Wage (£18,525 per annum at the time) or are unemployed, regardless of whether they have a full level 3 qualification or higher. Mayoral Combined Authorities (MCAs) and the Greater London Authority (GLA) are able to set their own wage thresholds for learners accessing Free Courses for Jobs (FCFJ) under this extension. The latest information on funding rules and eligibility can be found under the Level 3 FCJC Offer section of the Advanced learner loans funding and performance management rules (opens in new tab).

From August 2024, the eligibility criteria changed again, to adults earning below £25,000 or who are unemployed.

Comparable figures between years have become increasingly difficult to compile, with qualifications valid for the offer changing from year to year and the eligibility criteria for learners also changing over the period of the offer.  

From 2024/25, the FCFJ figures in the FE & Skills release are based solely on the eligibility of learners and validity of courses that applied at the reported time and run from April 2021 when FCFJ was first introduced.  

We have simplified the data by removing comparisons of starts and achievements on qualifications that were valid during each month of the original FCFJ offer against the same courses in the same months in previous years back to 2018/19 - e.g. the FCFJ courses valid in August 2021 were compared to the same courses in August 2018, 2019 and 2020; courses valid in August 2022 were compared to the same courses in August 2018, 2019, 2020 and 2021 and so on.        

Figures based on the previous methodology remain available to view in the 2023/24 release.

3. Users and uses of these statistics

Commitment to our users

Our commitment to the users of DfE statistics is set out in the DfE standards and policies (opens in new tab) documents and can be summarised as a commitment to:

  • Publish our statistics on the pre-announced time and date
  • Publish our statistics in line with the Code and the Department’s Statistical Policies and Procedures
  • Give open and easy-to-use routes to allow users to supply us with their views and opinions
  • Respond quickly and accurately to questions and enquiries from our users
  • Consult with users on developments and changes to our statistical methodologies, publications or publication processes
  • Consult with both internal and external users on our statistical work plan
  • Ensure independent scrutiny of the work plan when necessary
  • Respond in a timely manner to any complaints from users
  • Be transparent when we are unable to meet any of the above commitments

Users of FE statistics

The most common individuals, groups and types of organisations that use our statistics is summarised in the table below:

User Uses
Department for Education (DfE)DfE colleagues use FE statistics for funding allocation; to report on government ambitions; develop and monitor policies; and answer FE data queries and parliamentary questions.
Skills EnglandSkills England (an executive agency sponsored by DfE) use FE data to help in their remit to deliver better skills for better jobs, enabling growth and opportunity.
Local Enterprise Partnerships (LEPS)LEPs are regular users of our statistics to assess the level of further education training against their local labour market and skills needs.
Mayoral Combined Authorities (MCA) and the Greater London Authority (GLA)

From 2019/20 around half of the AEB was devolved to six MCAs and the GLA, enabling the authorities to take responsibility for delivering adult education in their local area.  We have regular engagement activities with these authorities on data and publishing requirements, and as noted above have introduced new supplementary tables as part of the FE statistical release to provide participation activity within these areas.

Devolution continues to bring changes to our outputs as we collaborate with Mayoral Combined Authorities (MCAs) and the Greater London Authority (GLA). We will continue to publish detailed data on national and local delivery, but the devolved bodies will publish more data and information themselves to provide a richer picture of their policies. Through our collaboration with MCAs/GLA on this work, along with other local bodies such as LEPs, we hope to gain a stronger insight to local data needs to further improve sub-national data.

There are currently 12 areas in England with mayoral devolution.

FE providersFE providers use the data to assess and benchmark their delivery and performance relative to statistical and local neighbours.
Academics and researchersWe are often contacted by academics requesting information regarding our statistics for use in their research. Researchers and other users can also apply for controlled access of FE unit level data for research purposes. 
Government organisationsOther government departments use our statistics, for example the link between education and employment is crucial for the Department for Work and Pensions. Ofsted and Ofqual are also regular users of achievement rates and other data to support their functions.
MediaFE statistics are often picked up by various media outlets, who may run stories on headline FE statistics.
General publicFE statistics are viewed by members of the general public with an interest in education.
Sector bodiesSector bodies, including the Association of Colleges (AoC), Association of Employment and Learning Providers (AELP) and Holex, use FE data to help inform their decision making. 
Stakeholder groupsWe work with various internal and external stakeholder groups and boards on data requirements, many of which work with the department to support policy development and operational delivery. These groups may be provided with internal management information to support their work with DfE, which helps inform decision making and determine the requirements for what we publish. For example, the Apprenticeship Ambassador Network is supported by DfE officials and works with employers to stimulate growth in apprenticeships.

We use a variety of methods to develop and strengthen links with our data users, so their views can help drive the production and development of official FE statistics, including:

Direct user-interface – We have direct contact with bodies and associations who have a professional interest in FE statistics.

One-to-one engagement – We maintain formal and informal contact with individual users and bodies.

Exploiting existing user information – We draw on existing information we have received from users to build a better picture of user experience and need.

Being open – We are open and transparent, explaining FE policy priorities, data limitations and changes to FE data and funding in both the methodology and main statistics publication.  

Improving presentation and dissemination – The move to the Explore Education Statistics (EES) dissemination platform in 2020 allowed for a more interactive user experience compared to the previous publication format. Users are now more able to explore FE data themselves, for example by filtering for specific measures, characteristics and time periods. 

Users can access the full range of our data either via underlying data files or use the interactive tool to build and save their own tables. A particular area we wish to explore more is the pre-set views we offer. These are aimed at the time-poor user who wants to quickly find and use more detailed breakdowns than what is available in the main release. We wish to find the optimal level of such set views users find useful. 

Feedback – We invite and encourage user feedback and provide contact details so users can send us their questions and comments. If you have a query regarding the content or data in our FE publications please get in touch with the FE Statistics Production and Dissemination Team using the contact details provided in the Help and support section at the bottom of this page. For technical queries regarding the EES platform, please contact Explore.STATISTICS@education.gov.uk.

Freedom of Information (FOI) requests

Users who require information on FE data and statistics which is not included in our publications can ask for this information via an FOI request (opens in new tab). A response will be issued within 20 working days of receiving the request.

FOIs (and other data) requests typically require more detailed breakdowns of published figures and/or different combinations of data than those which are published. They can therefore provide us with an insight into areas where we may not be meeting user needs in our statistics publications and highlight changes we could make to better meet these needs.

Taken in conjunction with public and media debate, we seek to regularly review the breadth of data and measures we offer in our releases.

4. Additional essential skills learning aims

Additional essential skills learning aims for 2024/25

Essential skills subject areaLearner aim referenceLearner aim title
EnglishZ0002133Non regulated provision, Pre-Entry Level, English
EnglishZ0002134Non regulated provision, Entry Level, English
EnglishZ0002135Non regulated provision, Level 1, English
EnglishZ0002136Non regulated provision, Level 2, English
EnglishZ0060021Non regulated Community Learning, Essential Skills, Pre-Entry Level, English
EnglishZ0060022Non regulated Community Learning, Essential Skills, Entry Level, English
EnglishZ0060023Non regulated Community Learning, Essential Skills, Level 1, English
EnglishZ0060024Non regulated Community Learning, Essential Skills, Level 2, English
EnglishZ0060097Non regulated Tailored Learning, Essential Skills, Pre-Entry Level, English
EnglishZ0060098Non regulated Tailored Learning, Essential Skills, Entry Level, English (Entry 1)
EnglishZ0060099Non regulated Tailored Learning, Essential Skills, Entry Level, English (Entry 2)
EnglishZ0060100Non regulated Tailored Learning, Essential Skills, Entry Level, English (Entry 3)
EnglishZ0060101Non regulated Tailored Learning, Essential Skills, Level 1, English
EnglishZ0060102Non regulated Tailored Learning, Essential Skills, Level 2, English
MathsZ0002137Non regulated provision, Pre-Entry Level, Maths
MathsZ0002138Non regulated provision, Entry Level, Maths
MathsZ0002139Non regulated provision, Level 1, Maths
MathsZ0002140Non regulated provision, Level 2, Maths
MathsZ0060025Non regulated Community Learning, Essential Skills, Pre-Entry Level, Maths
MathsZ0060026Non regulated Community Learning, Essential Skills, Entry Level, Maths
MathsZ0060027Non regulated Community Learning, Essential Skills, Level 1, Maths
MathsZ0060028Non regulated Community Learning, Essential Skills, Level 2, Maths
MathsZ0060103Non regulated Tailored Learning, Essential Skills, Pre-Entry Level, Maths
MathsZ0060104Non regulated Tailored Learning, Essential Skills, Entry Level, Maths (Entry 1)
MathsZ0060105Non regulated Tailored Learning, Essential Skills, Entry Level, Maths (Entry 2)
MathsZ0060106Non regulated Tailored Learning, Essential Skills, Entry Level, Maths (Entry 3)
MathsZ0060107Non regulated Tailored Learning, Essential Skills, Level 1, Maths
MathsZ0060108Non regulated Tailored Learning, Essential Skills, Level 2, Maths
ESOLZ0002129Non regulated provision, Pre-Entry Level, ESOL
ESOLZ0002130Non regulated provision, Entry Level, ESOL
ESOLZ0002131Non regulated provision, Level 1, ESOL
ESOLZ0002132Non regulated provision, Level 2, ESOL
ESOLZ0060017Non regulated Community Learning, Essential Skills, Pre-Entry Level, ESOL
ESOLZ0060018Non regulated Community Learning, Essential Skills, Entry Level, ESOL
ESOLZ0060019Non regulated Community Learning, Essential Skills, Level 1, ESOL
ESOLZ0060020Non regulated Community Learning, Essential Skills, Level 2, ESOL
ESOLZ0060091Non regulated Tailored Learning, Essential Skills, Pre-Entry Level, ESOL
ESOLZ0060092Non regulated Tailored Learning, Essential Skills, Entry Level, ESOL (Entry 1)
ESOLZ0060093Non regulated Tailored Learning, Essential Skills, Entry Level, ESOL (Entry 2)
ESOLZ0060094Non regulated Tailored Learning, Essential Skills, Entry Level, ESOL (Entry 3)
ESOLZ0060095Non regulated Tailored Learning, Essential Skills, Level 1, ESOL
ESOLZ0060096Non regulated Tailored Learning, Essential Skills, Level 2, ESOL
DigitalZ0060029Non regulated Community Learning, Essential Skills, Pre-Entry Level, Essential Digital Skills
DigitalZ0060030Non regulated Community Learning, Essential Skills, Entry Level, Essential Digital Skills
DigitalZ0060031Non regulated Community Learning, Essential Skills, Level 1, Essential Digital Skills
DigitalZ0060109Non regulated Tailored Learning, Essential Skills, Pre-Entry Level, Essential Digital Skills
DigitalZ0060110Non regulated Tailored Learning, Essential Skills, Entry Level, Essential Digital Skills
DigitalZ0060111Non regulated Tailored Learning, Essential Skills, Level 1, Essential Digital Skills

5. Learning aims now counted as Digital Skills

Learning aims which are now counted as Digital Skills, but were previously counted as English (final 2023/24 data onwards)

Learning Aim ReferenceLearning Aim Reference Title
Z0009419Essential Digital Skills, Pre-Entry Level, ICT for Users, Up to 2 hrs, PW A
Z0009420Essential Digital Skills, Pre-Entry Level, ICT for Users, 3 to 4 hrs, PW A
Z0009421Essential Digital Skills, Pre-Entry Level, ICT for Users, 5 to 6 hrs, PW A
Z0009422Essential Digital Skills, Pre-Entry Level, ICT for Users, 7 to 12 hrs, PW A
Z0009423Essential Digital Skills, Pre-Entry Level, ICT for Users, 13 to 20 hrs, PW A
Z0009424Essential Digital Skills, Pre-Entry Level, ICT for Users, 21 to 44 hrs, PW A
Z0009425Essential Digital Skills, Pre-Entry Level, ICT for Users, 45 to 68 hrs, PW A
Z0009426Essential Digital Skills, Entry Level, ICT for Users, Up to 2 hrs, PW A
Z0009427Essential Digital Skills, Entry Level, ICT for Users, 3 to 4 hrs, PW A
Z0009428Essential Digital Skills, Entry Level, ICT for Users, 5 to 6 hrs, PW A
Z0009429Essential Digital Skills, Entry Level, ICT for Users, 7 to 12 hrs, PW A
Z0009430Essential Digital Skills, Entry Level, ICT for Users, 13 to 20 hrs, PW A
Z0009431Essential Digital Skills, Entry Level, ICT for Users, 21 to 44 hrs, PW A
Z0009432Essential Digital Skills, Entry Level, ICT for Users, 45 to 68 hrs, PW A
Z0009433Essential Digital Skills, Level 1, ICT for Users, Up to 2 hrs, PW A
Z0009434Essential Digital Skills, Level 1, ICT for Users, 3 to 4 hrs, PW A
Z0009435Essential Digital Skills, Level 1, ICT for Users, 5 to 6 hrs, PW A
Z0009436Essential Digital Skills, Level 1, ICT for Users, 7 to 12 hrs, PW A
Z0009437Essential Digital Skills, Level 1, ICT for Users, 13 to 20 hrs, PW A
Z0009438Essential Digital Skills, Level 1, ICT for Users, 21 to 44 hrs, PW A
Z0009439Essential Digital Skills, Level 1, ICT for Users, 45 to 68 hrs, PW A

6. Data lag analysis

Data lag for apprenticeship starts - percentage of final data reported at published snapshots

YearSnapshotAugSepOctNovDecJanFebMarAprMayJunJul
2020/21R0490.589.186.4
2021/22R0496.093.690.7
2022/23R0495.593.689.1
2023/24R0494.994.588.1
2020/21R0693.095.996.093.985.666.2
2021/22R0697.298.898.496.392.468.9
2022/23R0696.898.797.496.393.273.6
2023/24R0697.298.797.497.394.175.4
2020/21R1099.599.7100.0100.499.498.898.296.792.8
2021/22R1098.8100.0100.199.999.699.199.198.095.0
2022/23R1099.2100.299.999.7100.099.599.299.195.5
2023/24R1098.899.899.999.7100.099.398.898.295.0
2020/21R14100.0100.0100.0100.0100.0100.0100.0100.0100.0100.0100.0100.0
2021/22R14100.0100.0100.0100.0100.0100.0100.0100.0100.0100.0100.0100.0
2022/23R14100.0100.0100.0100.0100.0100.0100.0100.0100.0100.0100.0100.0
2023/24R14100.0100.0100.0100.0100.0100.0100.0100.0100.0100.0100.0100.0

Data lag for apprenticeship achievements - percentage of final data reported at published snapshots

YearSnapshotAugSepOctNovDecJanFebMarAprMayJunJul
202021R0481.978.472.7
202122R0481.380.072.9
202223R0488.686.683.5
202324R0493.090.286.0
202021R0688.787.485.680.072.654.3
202122R0687.987.786.477.074.954.9
202223R0693.091.491.687.682.265.4
202324R0695.794.893.090.888.169.6
202021R1095.494.995.094.593.191.789.484.373.4
202122R1094.695.895.094.494.291.891.787.080.8
202223R1097.597.397.296.696.795.593.692.487.5
202324R1098.197.897.998.097.896.395.893.389.4
202021R14100.0100.0100.0100.0100.0100.0100.0100.0100.0100.0100.0100.0
202122R14100.0100.0100.0100.0100.0100.0100.0100.0100.0100.0100.0100.0
202223R14100.0100.0100.0100.0100.0100.0100.0100.0100.0100.0100.0100.0
202324R14100.0100.0100.0100.0100.0100.0100.0100.0100.0100.0100.0100.0

Data lag for Education and Training enrolments - percentage of final data reported at published snapshots

YearSnapshotAugSepOctNovDecJanFebMarAprMayJunJul
2020/21R0494.5100.186.4
2021/22R0498.599.589.8
2022/23R0496.598.992.2
2023/24R0498.499.893.0
2020/21R0698.8101.096.294.088.172.6
2021/22R06100.8100.497.395.791.673.4
2022/23R06100.3100.198.994.085.974.0
2023/24R06100.6100.198.596.192.675.6
2020/21R10101.1100.999.399.199.298.697.395.290.5
2021/22R10101.4100.299.699.999.799.6100.197.094.5
2022/23R10100.9100.4100.199.298.099.698.697.492.1
2023/24R10100.3100.0100.099.5100.8100.499.197.594.3
2020/21R14100.0100.0100.0100.0100.0100.0100.0100.0100.0100.0100.0100.0
2021/22R14100.0100.0100.0100.0100.0100.0100.0100.0100.0100.0100.0100.0
2022/23R14100.0100.0100.0100.0100.0100.0100.0100.0100.0100.0100.0100.0
2023/24R14100.0100.0100.0100.0100.0100.0100.0100.0100.0100.0100.0100.0

Help and support

Contact us

If you have a specific enquiry about Further education and skills statistics and data:

FE Statistics Production and Dissemination Team

Email: FE.OFFICIALSTATISTICS@education.gov.uk
Contact name: FE Statistics Production and Dissemination Team

Press office

If you have a media enquiry:

Telephone: 020 7783 8300

Public enquiries

If you have a general enquiry about the Department for Education (DfE) or education:

Telephone: 037 0000 2288

Opening times:
Monday to Friday from 9.30am to 5pm (excluding bank holidays)